QIA59 Sigma-AldrichPCNA ELISA Kit
Productos recomendados
Descripción
| Replacement Information |
|---|
Tabla espec. clave
| Detection Methods |
|---|
| Colorimetric |
| Description | |
|---|---|
| Overview | Fast, sensitive assay for the in vitro quantitation of PCNA protein. The kit has broad reactivity, and is suitable to detect PCNA in autoimmune sera samples. The assay was validated using the BrdU Cell Proliferation Assay (Cat. No. QIA58). This product has been discontinued. |
| Proliferating cell nuclear antigen (PCNA) has no known enzymatic activity; however, it can interact with a variety of proteins and regulate their activities. These varied interactions with DNA metabolic proteins imply that PCNA is a central factor for the coordination of DNA replication, DNA repair, epigenetic inheritance, and cell-cycle control. | |
| Catalogue Number | QIA59 |
| Brand Family | Calbiochem® |
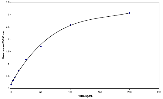
| Application Data | ![]() The mean signal of each standard run in replicates of two in four assays using two different batches of plates and two different lots of detector antibody. Note: 44 units/ml of the old standard (lysate) corresponds to about 200 ng/ml of the new standard. |
| Materials Required but Not Delivered | • 2-20 µl, 20-200 µl and 200-1000 µl precision pipetters with disposable tips. • Automated plate washer, wash bottle or multichannel dispenser for washing. • 1 liter graduated cylinder. • Deionized or distilled H2O. • 0.2 µm syringe filter and syringe. • Spectrophotometer capable of measuring absorbance in 96-well plates using dual wavelength of 450/595 nm or 450/540 nm. A single wavelength of 450 nm can also be used. • Cell Resuspension Buffer: 50 mM Tris, containing 5 mM EDTA, 0.2 mM PMSF, 1 µg/ml pepstatin, and 0.5 µg/ml leupeptin adjusted to pH 8.0. |
| Applications |
|---|
| Biological Information | |
|---|---|
| Assay range | 3.125-200 ng/ml of PCNA |
| Assay time | 3.5 h |
| Sample Type | Cell lysates, tissue culture media , serum, or plasma |
| Physicochemical Information |
|---|
| Dimensions |
|---|
| Materials Information |
|---|
| Toxicological Information |
|---|
| Safety Information according to GHS |
|---|
| Packaging Information |
|---|
| Transport Information |
|---|
| Specifications |
|---|
| Global Trade ITEM Number | |
|---|---|
| Número de referencia | GTIN |
| QIA59 | 0 |
Documentation
Referencias bibliográficas
| Visión general referencias |
|---|
| Kelman, Z. and J. Hurwitz, 1998. Trends Biochem. Sci. 23, 236. Montecucco, A., et al. 1998. The EMBO Journal 17, 3786. Oku, T., et al. 1998. Genes Cells 3, 357. Waga, S. and B. Stillman, 1998. Annu. Rev. Biochem. 67, 721. Jonsson ZO and H. U, 1997. Bioessays 19, 967. Prosperi, E., 1997. Prog. Cell Cycle Res. 3, 19. Gulbis, J., et al. 1996. Cell, 87, 297. Brott, D.A., et al. 1993. J. Cell. Biochem. 52, 362. |
Folleto
| Cargo |
|---|
| Kit SourceBook - 2nd Edition EURO |
| Kits SourceBook - 2nd Edition GBP |









