Skip to Content
Merck

53747

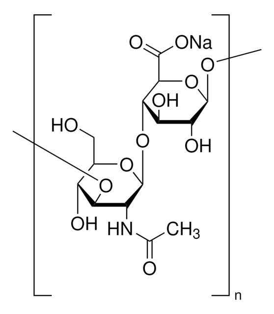
Hyaluronic acid sodium salt from Streptococcus equi

bacterial glycosaminoglycan polysaccharide

Synonym(s):

Poly(β-glucuronic acid-[1→3]-β-N-acetylglucosamine-[1→4]), alternating

Sign In to View Organizational & Contract Pricing.

Select a Size


About This Item

CAS Number:
MDL number:
UNSPSC Code:
51202002
PubChem Substance ID:
NACRES:
NA.25
Technical Service
Need help? Our team of experienced scientists is here for you.
Let Us Assist
Technical Service
Need help? Our team of experienced scientists is here for you.
Let Us Assist

SMILES string

[Na+].CC(=O)N[C@@H]1C[C@H](O)[C@@H](CO)O[C@H]1O[C@H]2[C@H](O)[C@@H](O)[C@H](O)O[C@@H]2C([O-])=O

InChI

1S/C28H44N2O23.Na/c1-5(33)29-9-18(11(35)7(3-31)47-25(9)46)49-28-17(41)15(39)20(22(53-28)24(44)45)51-26-10(30-6(2)34)19(12(36)8(4-32)48-26)50-27-16(40)13(37)14(38)21(52-27)23(42)43;/h7-22,25-28,31-32,35-41,46H,3-4H2,1-2H3,(H,29,33)(H,30,34)(H,42,43)(H,44,45);/q;+1/t7-,8-,9-,10-,11-,12-,13+,14+,15-,16-,17-,18-,19-,20+,21+,22+,25-,26+,27-,28-;/m1./s1

InChI key

YWIVKILSMZOHHF-QJZPQSOGSA-N

biological source

(Streptococcus equi)

form

powder or crystals

mol wt

~1.5-1.8 x 10E6 Da

impurities

≤1% protein

color

white

solubility

H2O: 5 mg/mL, clear, colorless

storage temp.

−20°C

Quality Level

Looking for similar products? Visit Product Comparison Guide

General description

Hyaluronic acid (HA), a vital component of the extracellular matrix in the central nervous system, is the versatile macromolecule found in the connective tissues of all vertebrates. This supramolecular glycosaminoglycan is a polyanionic natural polymer occurring as a linear polysaccharide. It is made up of glucuronic acid and N-acetylglucosamine repeats through a β-1,4 linkage. HA is seen abundantly in the eyes, joints, and heart valves.

Application

Hyaluronic acid sodium salt from Streptococcus equi has been used:
  • with methacrylic anhydride for synthesizing cross-linkable methacrylated HA hydrogel (Coll-MeHA)
  • in phosphate buffer saline (PBS) to replace the PBS bath to vary the lubricant composition
  • in the preparation of lubricant to study its effects on the boundary lubrication of human osteoarthritis (OA) cartilage

Biochem/physiol Actions

Hyaluronic acid (HA), an important component of synovial fluid and articular cartilage serves as the boundary lubricant. It exhibits several physicochemical properties including biodegradability, biocompatibility, nontoxicity, and nonimmunogenicity. HA is considered a great tool for biomedical uses like drug delivery, tissue engineering, plastic surgery, ocular surgery, and osteoarthritis surgery. It participates in cushioning and lubricating the body. This powerful antioxidant can bond water to tissue.

Other Notes

To gain a comprehensive understanding of our extensive range of Polysaccharides for your research, we encourage you to visit our Carbohydrates Category page.

Storage Class

11 - Combustible Solids

wgk

WGK 2

flash_point_f

Not applicable

flash_point_c

Not applicable


Regulatory Listings

Regulatory Listings are mainly provided for chemical products. Only limited information can be provided here for non-chemical products. No entry means none of the components are listed. It is the user’s obligation to ensure the safe and legal use of the product.

53747-VAR: + 53747-1G: + 53747-10G: + 53747-BULK:

jan


Choose from one of the most recent versions:

Certificates of Analysis (COA)

Lot/Batch Number

Don't see the Right Version?

If you require a particular version, you can look up a specific certificate by the Lot or Batch number.

Already Own This Product?

Find documentation for the products that you have recently purchased in the Document Library.

Visit the Document Library

Jae-Yong Park et al.
PloS one, 9(11), e112684-e112684 (2014-11-27)
Synovial fluid plays an important role in lubricating synovial joints. Its main constituents are hyaluronic acid (HA) and γ-globulin, acting as boundary lubricants for articular cartilage. The aim of the study was to demonstrate the concentration-dependent effect of HA and
Catarina Oliveira Silva et al.
PloS one, 11(10), e0165419-e0165419 (2016-10-28)
The application of functionalized nanocarriers on photothermal therapy for cancer ablation has wide interest. The success of this application depends on the therapeutic efficiency and biocompatibility of the system, but also on the stability and biorecognition of the conjugated protein.
Tao Jin et al.
Biomaterials, 113, 176-190 (2016-11-07)
Extracellular matrix (ECM) is widely used as an inductive biological scaffold to repair soft tissue after injury by promoting functional site-appropriate remodeling of the implanted material. However, there is a lack of non-invasive analysis methods to monitor the remodeling characteristics
Telma E Santos et al.
Cell reports, 32(3), 107907-107907 (2020-07-23)
During development of the central nervous system (CNS), neurons polarize and rapidly extend their axons to assemble neuronal circuits. The growth cone leads the axon to its target and drives axon growth. Here, we explored the mechanisms underlying axon growth
H C Lin et al.
European cells & materials, 40, 133-145 (2020-09-21)
Vascularisation efficiency plays an essential role in the success of bulk transplantation, while biocompatibility and safety are major concerns in clinical applications. Fibrin-based hydrogels have been exploited as scaffolds for their advantages in biocompatibility, degradability and mass transportation in various

Articles

Glycosaminoglycans are large linear polysaccharides constructed of repeating disaccharide units.

Uncover more about glycosaminoglycans and proteoglycans including the structure of glycosaminoglycans (GAGs), the different types of GAGs, and their functions.

Our team of scientists has experience in all areas of research including Life Science, Material Science, Chemical Synthesis, Chromatography, Analytical and many others.

Contact Technical Service