Select a Size
About This Item
Product Name
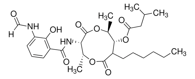
Antimycin A from Streptomyces sp.,
SMILES string
[H]C(=O)Nc1cccc(C(=O)N[C@H]2[C@@H](C)OC(=O)C(CCCCCC)[C@@H](OC(=O)CC(C)C)[C@H](C)OC2=O)c1O
InChI key
UIFFUZWRFRDZJC-RBVQMQRASA-N
InChI
1S/C28H40N2O9/c1-6-7-8-9-11-20-25(39-22(32)14-16(2)3)18(5)38-28(36)23(17(4)37-27(20)35)30-26(34)19-12-10-13-21(24(19)33)29-15-31/h10,12-13,15-18,20,23,25,33H,6-9,11,14H2,1-5H3,(H,29,31)(H,30,34)/t17-,18+,20?,23+,25+/m1/s1
form
powder
antibiotic activity spectrum
fungi
mode of action
enzyme | inhibits
storage temp.
−20°C
Quality Level
Looking for similar products? Visit Product Comparison Guide
Related Categories
Analysis Note
Application
- as a respiratory chain inhibitor in neuronal cultures
- in organello ATP production assay in Trypanosoma brucei cells
- in respiration assay for papillary thyroid carcinoma (PTC) cell lines
Biochem/physiol Actions
General description
signalword
Danger
hcodes
Hazard Classifications
Acute Tox. 2 Oral - Aquatic Acute 1
Storage Class
6.1A - Combustible acute toxic Cat. 1 and 2 / very toxic hazardous materials
wgk
WGK 3
flash_point_f
Not applicable
flash_point_c
Not applicable
ppe
Eyeshields, Faceshields, Gloves, type P2 (EN 143) respirator cartridges
Choose from one of the most recent versions:
Already Own This Product?
Find documentation for the products that you have recently purchased in the Document Library.
Articles
DISCOVER Bioactive Small Molecules for Nitric Oxide & Cell Stress Research
Our team of scientists has experience in all areas of research including Life Science, Material Science, Chemical Synthesis, Chromatography, Analytical and many others.
Contact Technical Service
