Select a Size
About This Item
Product Name
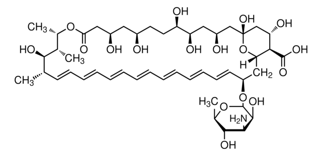
Amphotericin B solubilized, powder, γ-irradiated, BioXtra, suitable for cell culture
InChI
1S/C47H73NO17/c1-27-17-15-13-11-9-7-5-6-8-10-12-14-16-18-34(64-46-44(58)41(48)43(57)30(4)63-46)24-38-40(45(59)60)37(54)26-47(61,65-38)25-33(51)22-36(53)35(52)20-19-31(49)21-32(50)23-39(55)62-29(3)28(2)42(27)56/h5-18,27-38,40-44,46,49-54,56-58,61H,19-26,48H2,1-4H3,(H,59,60)/b6-5+,9-7+,10-8+,13-11+,14-12+,17-15+,18-16+/t27-,28-,29-,30+,31+,32+,33-,34-,35+,36+,37-,38-,40+,41-,42+,43+,44-,46-,47+/m0/s1
InChI key
APKFDSVGJQXUKY-INPOYWNPSA-N
SMILES string
C[C@H]1O[C@@H](O[C@@H]2C[C@@H]3O[C@](O)(C[C@@H](O)C[C@@H](O)[C@H](O)CC[C@@H](O)C[C@@H](O)CC(=O)O[C@@H](C)[C@H](C)[C@H](O)[C@@H](C)\C=C\C=C\C=C\C=C\C=C\C=C\C=C\2)C[C@H](O)[C@H]3C(O)=O)[C@@H](O)[C@@H](N)[C@@H]1O
sterility
γ-irradiated
product line
BioXtra
form
powder
technique(s)
cell culture | mammalian: suitable
antibiotic activity spectrum
fungi
yeast
mode of action
cell membrane | interferes
storage temp.
2-8°C
Quality Level
Looking for similar products? Visit Product Comparison Guide
Related Categories
Application
Biochem/physiol Actions
Disclaimer
General description
Other Notes
Packaging
Preparation Note
Aqueous solutions cannot be sterile filtered due to poor solubility. If reconstituted in sterile water, there is no need to filter sterilize.
It is also soluble in DMSO (30-40 mg/mL) and in dimethylformamide (2-4 mg/mL).
signalword
Danger
hcodes
Hazard Classifications
STOT RE 1
Storage Class
6.1C - Combustible acute toxic Cat.3 / toxic compounds or compounds which causing chronic effects
wgk
WGK 3
flash_point_f
Not applicable
flash_point_c
Not applicable
ppe
dust mask type N95 (US), Eyeshields, Gloves
Choose from one of the most recent versions:
Already Own This Product?
Find documentation for the products that you have recently purchased in the Document Library.
Articles
Antibiotic kill curve is a dose response experiment in which mammalian cells are subjected to increasing amounts of selection antibiotic
Prevent fungal, yeast, and mold contamination in cell cultures. Discover the best antifungal agent for your cultures with the extensive Sigma® antifungal collection.
微生物死滅曲線は、哺乳類細胞に対し選択抗生物質のばく露量を増やしていく用量反応実験です。
An overview of human microbiome research, workflow challenges, sequencing, library production, data analysis, and available microbiome reagents to support your research.
Related Content
Our team of scientists has experience in all areas of research including Life Science, Material Science, Chemical Synthesis, Chromatography, Analytical and many others.
Contact Technical Service