Skip to Content
Merck

D0301

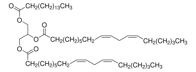
1,2-Dilinoleoyl-3-palmitoyl-rac-glycerol

≥95% (TLC), liquid

Synonym(s):

1,2-Di(cis-9,12-octadecadienoyl)-3-hexadecanoyl-rac-glycerol, PLL

Sign In to View Organizational & Contract Pricing.

Select a Size


About This Item

Empirical Formula (Hill Notation):
C55H98O6
CAS Number:
Molecular Weight:
855.36
NACRES:
NA.25
PubChem Substance ID:
UNSPSC Code:
12352211
MDL number:
Technical Service
Need help? Our team of experienced scientists is here for you.
Let Us Assist
Technical Service
Need help? Our team of experienced scientists is here for you.
Let Us Assist

InChI

1S/C55H98O6/c1-4-7-10-13-16-19-22-25-27-30-33-36-39-42-45-48-54(57)60-51-52(50-59-53(56)47-44-41-38-35-32-29-24-21-18-15-12-9-6-3)61-55(58)49-46-43-40-37-34-31-28-26-23-20-17-14-11-8-5-2/h16-17,19-20,25-28,52H,4-15,18,21-24,29-51H2,1-3H3/b19-16-,20-17-,27-25-,28-26-

SMILES string

O=C(CCCCCCC/C=C\C/C=C\CCCCC)OC(COC(CCCCCCCCCCCCCCC)=O)COC(CCCCCCC/C=C\C/C=C\CCCCC)=O

InChI key

LXAWUIOWWNQCQA-YBQWMRSQSA-N

biological source

synthetic (organic)

assay

≥95% (TLC)

form

liquid

functional group

ester

lipid type

neutral glycerides

shipped in

ambient

storage temp.

−20°C

Quality Level

Physical form

Liquid at room temperature

Storage Class

10 - Combustible liquids

wgk

WGK 3

flash_point_f

Not applicable

flash_point_c

Not applicable

ppe

Eyeshields, Gloves


Regulatory Listings

Regulatory Listings are mainly provided for chemical products. Only limited information can be provided here for non-chemical products. No entry means none of the components are listed. It is the user’s obligation to ensure the safe and legal use of the product.

D0301-VAR: + D0301-BULK: + D0301-10MG: + D0301-100MG: + D0301-25MG:

jan


Choose from one of the most recent versions:

Certificates of Analysis (COA)

Lot/Batch Number

Don't see the Right Version?

If you require a particular version, you can look up a specific certificate by the Lot or Batch number.

Already Own This Product?

Find documentation for the products that you have recently purchased in the Document Library.

Visit the Document Library

Sunita D Bansod et al.
IET nanobiotechnology, 13(6), 609-616 (2019-08-23)
Here, a rapid and easy transformation by electroporation technique for gene transfer in plants using cell penetrating amino nanocomplex (nanoplex) has been demonstrated in Nicotiana. Nanoplex was prepared using cell penetrating amino acids (CPAs) such as poly-L-lysine (PLL) and Argenine
Hirotaka Nakatsuji et al.
Scientific reports, 7(1), 4694-4694 (2017-07-07)
Light-inducible gene regulation has great potential for remote and noninvasive control of the fate and function of target cells. One method to achieve such control is delivery of heat shock protein (HSP) promoter-driven protein expression vectors and photothermal heaters into
Ju An Park et al.
Scientific reports, 7(1), 14610-14610 (2017-11-04)
Microfabrication methods have widely been used to control the local cellular environment on a micron scale. However, accurately mimicking the complexity of the in vivo tissue architecture while maintaining the freedom of form and design is still a challenge when
Andrea J Mothe et al.
Scientific reports, 7(1), 10529-10529 (2017-09-07)
Traumatic spinal cord injury (SCI) causes a cascade of degenerative events including cell death, axonal damage, and the upregulation of inhibitory molecules which prevent regeneration and limit recovery. Repulsive guidance molecule A (RGMa) is a potent neurite growth inhibitor in
The Human CD38 Monoclonal Antibody Daratumumab Shows Antitumor Activity and Hampers Leukemia-Microenvironment Interactions in Chronic Lymphocytic Leukemia.
Alba Matas-Céspedes et al.
Clinical cancer research : an official journal of the American Association for Cancer Research, 23(6), 1493-1505 (2016-09-18)

Our team of scientists has experience in all areas of research including Life Science, Material Science, Chemical Synthesis, Chromatography, Analytical and many others.

Contact Technical Service