Larger and Customizable
Multiplex Assay
MILLIPLEX® Human
Cytokine/Chemokine/Growth Factor Panel A
The MILLIPLEX® Human Cytokine/Chemokine/Growth Factor Panel A is a multiplex assay that combines tests for 48 individual immune factors that previously have not been together in a single panel, while also allowing you to choose any combination of analytes, or select a 48-plex or a 38-plex premixed kit. This panel was built with quality in mind and has improved workflow and sample detection that help you discover with confidence.
- What is a Multiplex Assay?
- Role of Cytokines, Chemokines, and Growth Factors
- Quality Built into MILLIPLEX® Kits
- Workflow Improvements
- Sample Detectability Using MILLIPLEX® Human Cytokine/Chemokine/Growth Factor Panel A (Cat. No. HCYTA-60K)
- Recent Publications Using MILLIPLEX® Human Cytokine/Chemokine/Growth Factor Panel A (Cat. No. HCYTA-60K)
- References

Figure 1. 48-plex standard curves were performed in the MXHSM-A serum matrix except *RANTES, which was performed in the L-AB assay buffer. The kit was run using the MILLIPLEX® Human Cytokine/Chemokine/Growth Factor Panel A (Cat. No. HCYTA-60K) overnight assay protocol.
What is a Multiplex Assay?
A multiplex assay is an assay that combines tests for various analytes in a single panel. These assays are gaining popularity for their advantages of saving sample volume and time by improving workflow when compared to assays that measure a single analyte, such as enzyme-linked immunosorbent assays (ELISA). Our MILLIPLEX® multiplex assays are the most highly verified multiplex assays for Luminex® technology. They can measure over 1,000 analytes including cytokines, chemokines, and growth factors. Discover more about the benefits of MILLIPLEX® multiplex immunoassays in this short video.
Role of Cytokines, Chemokines, and Growth Factors
Cytokines mediate direct interactions between cells and regulate processes taking place in the extracellular environment. Cytokines differ from hormones in that they act on a wider spectrum of target cells and include lymphokines, interferons, colony-stimulating factors, and chemokines. Additionally, growth factors are involved in the stimulation of target cell survival, proliferation, and differentiation with effects on angiogenesis, vasculogenesis, and cell migration.
Cytokine, chemokine, and growth factor research play a significant role in achieving a deeper understanding of the immune system and its multi-faceted response to most antigens. This deep understanding is especially relevant to those responses that make up the inflammatory process and disease states, such as osteoarthritis, IBD, sepsis, allergic reactions, and even cancer. It also allows researchers to understand infectious, respiratory, neurologic, metabolic, and cardiovascular diseases. Explore how MILLIPLEX® multiplex assays can help to understand cytokine storm.
For Research Use Only. Not For Use In Diagnostic Procedures.
Quality Built into MILLIPLEX® Kits
MILLIPLEX® kit development and verification entail testing for selectivity and specificity to ensure negligible cross-reactivity in the tested sample types, as well as assay specificity to ensure consistent performance of an assay in single-plex vs. multiplex formats. Buffers and diluents are optimized to enhance antibody specificity, such that only those analytes of interest are detected in samples. The serum matrix is also carefully selected and optimized for use in the standard curve when using serum or plasma samples to most closely mimic the sample matrix, thus normalizing assay performance. The streptavidin-phycoerythrin (SAPE) concentration is titrated in-house for optimal signal and is provided ready-to-use with no dilution required. Additionally, all our kits are rigorously tested for shipping stability, and samples are also tested for temperature and freeze/thaw tolerance.
Sample dilution is optimized for each analyte in the kit, ensuring that biologically relevant sample values are detectable, and fall within the dynamic range of the standard curves. Samples tested for this kit include normal and disease serum and plasma samples, as well as peripheral blood mononuclear cell supernatants (PBMCs, unstimulated and stimulated with various agents). Quality Controls (QCs), which are low and high dilutions of recombinant proteins for each analyte, are manufactured such that the two QCs (high and low) have optimal placement on each standard curve. QC range sheets are provided with each kit. Additionally, we always recommend users include experiment-specific samples for use as controls in each assay. This quick video describes why our high-quality MILLIPLEX® multiplex assays guarantee reliable performance across lots.
Workflow Improvements
An assay containing 48 individual immune factors in a single panel is a powerful tool for research. The ability to select all analytes, perhaps for screening, and then to select a subset of analytes as a project continues, allows researchers the flexibility they need to work efficiently. Detecting all (or a subset) of these proteins at pg/mL levels within a kit with standard curves that do not change from lot to lot makes the assay very user-friendly. Consistent standard curves from lot to lot ensure consistent sample results across a project. The MILLIPLEX® Human Cytokine/Chemokine/Growth Factor Panel A also has a straightforward protocol with a familiar workflow in which every step is outlined to ensure ease of use. Learn about the MILLIPLEX® protocol in our How to Run MILLIPLEX® Multiplex Immunoassays video.
Another assay improvement is that both types of platelet-derived growth factor PDGF-AA and PDGF-AB/BB can now be tested with neat serum and plasma samples, so there is no need for sample dilution as is the case with MILLIPLEX® Human Cytokine/Chemokine Panel 1 (HCYTOMAG-60K), or for other Luminex® based kits on the market. RANTES, being highly expressed in serum and plasma samples, still requires a separate sample dilution in serum and plasma of 1:100.
A simple assay improvement of logically arranging the bead regions and analyte names in numeric-alphabetic order, allows researchers to quickly locate specific analytes in the result output files much easier than with previous assays. This helps immensely when analyzing datasets of 42 analytes or greater.

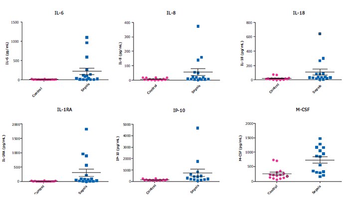
Figure 2. Testing disease samples and stimulated PBMC using the MILLIPLEX® Human Cytokine/Chemokine/Growth Factor Panel A (Cat. No. HCYTA-60K).
Sample Detectability Using MILLIPLEX® Human Cytokine/Chemokine/Growth Factor Panel A (Cat. No. HCYTA-60K)
In addition to improvements in the standard curves relative to the comparative analyte assays for the MILLIPLEX® Human Cytokine/Chemokine/Growth Factor Panel A, there is also improvement in analyte performance in terms of sample detection.
One goal in the development of this panel was to closely match sample values when evaluated against comparison MILLIPLEX® kits (Cat. No. HCYTOMAG-60K, HCYP3MAG-63K, or HTH17MAG-14K). Of note, three of the analyte assays have been adjusted to better match the accepted values in the literature: GROα1,2, IL-41, and IL-223,4,5.
More details can be found in our MILLIPLEX® Human Cytokine/Chemokine/Growth Factor Panel A application note.
MILLIPLEX® kits are manufactured in facilities that are ISO 9001:2015 compliant and are for research use only (RUO), not for use in clinical or for medical diagnostic purposes.
App Note: MILLIPLEX® Multiplex Panels for Research Applications in COVID-19 (SARS-CoV-2)
Cytokine Storm Biomarker...
Read More...
Poster: Measuring Immune Response and Cytokine Autoantibodies
Cytokine, chemokine, and growth factor research...
Read More...
App Note: Quantitative multiplex analysis of 48 analytes using the MILLIPLEX® Human Cytokine/Chemokine/Growth Factor Panel
Cytokines are immunomodulatory...
Read More...
Related content links
References
Recent Publications Using MILLIPLEX® Human Cytokine/Chemokine/Growth Factor Panel A (Cat. No. HCYTA-60K)
続きを確認するには、ログインするか、新規登録が必要です。
アカウントをお持ちではありませんか?