Organosilanes for Cross-coupling
Dimethylsilanols
Over the past several years, Pd-catalyzed cross-coupling of silicon compounds has rapidly gained acceptance as a suitable alternative to more commonly known methods such as: Stille (Sn), Kumada (Mg), Suzuki (B), and Negishi (Zn) cross-couplings.1 Organosilicon compounds are easily prepared from inexpensive starting materials, have low toxicity, and are active nucleophiles in coupling reactions with organohalides and pseudohalides. Among the many available organosilicon compounds, the cross-coupling of dimethylsilanols is the most mature.
Dimethylsilanols are readily prepared by directed metallation of heterocycles (Scheme 12)2,3 or by metal-halogen exchange of aryl or alkenyl bromides (Scheme 13),4 followed by quenching with a silicon-based electrophile. Hexamethylcyclotrisiloxane and dichlorodimethylsilane are particularly attractive silylating reagents, due to their affordability.

Scheme 12.

Scheme 13.
Alternatively, aryldimethylsilanols can be synthesized by a sequence of transition metal-catalyzed silylation of aryl bromides with a diethoxydisilane reagent, followed by acid hydrolysis of the silyl ether (Scheme 14, Table 3). The use of Hünig’s base and BPTBP as a ligand additive gave the most optimal results in the silylation reaction.

Scheme 14.
In the presence of a fluoride activation source, alkenyldimethylsilanols readily react with both aryl and alkenyl halides to give the coupled adducts in very good yield (Scheme 15).2 Alternatively, the Pd-catalyzed cross-coupling can also be performed under basic activation using TMSOK for in situ generation of a nucleophilic silanolate.5 The utility of performing the cross-coupling under basic activation lies in the ability to perform the reaction in the presence of fluoride-sensitive silyl protecting groups
(Scheme 16).24 Alkynylsilanols have also been found to be active coupling partners under similar conditions.6

Scheme 15.

Scheme 16.
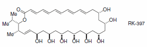
Both strategies, fluoride and basic activation, were demonstrated in the total synthesis of the antifungal polyene macrolide RK-397 (Figure 2).7 Specifically, the polyene segment of the natural product was prepared by sequential cross-coupling of a differentiable 1,4-bissilylbutadiene unit (Scheme 17).8 The dimethylsilanol moiety readily couples under basic activation, while the other silyl substituent remains inert. Subsequent fluoride-promoted coupling of the benzyldimethylsilyl group provided the necessary tetraenoate linkage for completion of the target molecule.

Figure 2.

Scheme 17.
Robust experimental protocols have been developed for biaryl coupling of a variety of aryl iodides and bromides. Good to excellent yields were obtained in the coupling of (4-methoxyphenyl) dimethylsilanol with a diverse set of aryl halides using Cs2CO3 to generate the silanolate in situ (Scheme 18, Table 4). Bromides could be coupled using dppb as a ligand additive in toluene, while coupling of iodides was most effective using Ph3As in dioxane.

Scheme 18.
Until recently, mild and general methods for cross-coupling of 2-heteroaryl nucleophiles were lacking. Boc-protected indoles were particularly challenging, owing to the decreased nucleophilicity at C-2. Typical procedures called for harsh reaction conditions (Stille coupling9) or failed to deliver the coupled product in acceptable yield (Suzuki coupling10). Denmark and co-workers have developed a set of general protocols for efficient coupling of these difficult substrates (Scheme 19, Table 5). Both protocols call for generation of a sodium silanolate (basic activation). Silanolates generated in situ from NaOt-Bu undergo Pd-catalyzed cross-coupling with aryl iodides in the presence of CuI.31 Alternatively, silanolates generated in situ from NaH can be coupled without an additive.3 Finally, sodium dimethylsilanolates are also isolable and storable materials whose reactivity parallels that of in situ-formed silanolates.

Scheme 19.
This methodology is applicable to cross-coupling of other heteroaryldimethylsilanols with aryl iodides in the presence of Pd2(dba)3·CHCl3.3,11 Thiophene, furan, and pyrrole nucleophiles easily couple with both electron-rich and electron-deficient aryl iodides (Scheme 20, Table 6).

Scheme 20.
Less expensive aryl bromides can be used in the reaction by changing to a highly-active Pd(I) catalyst developed by Weissman and Moore (Scheme 21, Table 7).12 The reactions times are generally shorter than with aryl iodides, and no discernible decreases in yields are observed. The Pd(I) catalyst displays very high activity that is superior to many commonly used crosscoupling catalysts for organosilicon nucleophiles. It is readily prepared from (2-methylallyl)palladium(II) chloride dimer and P(t- Bu)3 in the presence of base.

2-methylallyl
Triethoxysilanes
The DeShong group at the University of Maryland has demonstrated triethoxysilanes to be active substrates in a variety of synthetically useful C–C bond forming reactions. Aryl triethoxysilanes are readily prepared by Grignard,16 o-metallation,17 or transition metal-catalyzed silylation reactions (Scheme 22).18

Scheme 22.
In the presence of a fluoride activator, siloxanes participate in Pd-catalyzed cross-coupling with aryl,17,19 alkenyl,20 and alkyl halides.21 For example, coupling of 5-bromotropolone with an arylsiloxane gave similar or better results than the analogous Suzuki or Stille reagent (Scheme 23).20 Triethoxysilanes also act as nucleophiles towards both Michael acceptors22 and Pd-allyl complexes (Scheme 24).23

Scheme 23.

Scheme 24.
Polyvinylsiloxanes
2,4,6,8-Tetramethyl-2,4,6,8-tetravinylcyclotetrasiloxane has emerged as an inexpensive but powerful reagent for preparation of styrenes from the corresponding aryl iodides24 or bromides (Scheme 25, Table 8).25 Both electron-withdrawing and electron-donating groups are well tolerated in the vinylation reaction.

Scheme 25.
Materials
References
続きを確認するには、ログインするか、新規登録が必要です。
アカウントをお持ちではありませんか?