PTAA:ポリトリアリルアミン半導体
Iain McCulloch, Martin Heeney
Flexink Limited - Southampton, UK
Material Matters 2009, Vol.4 No.3
溶液プロセス可能な有機半導体の有機エレクトロニクスへの応用
有機エレクトロニクスは、技術的、商業的な応用が大いに期待される新しい科学分野であり1、世界各地でますます研究活動が盛んになっています。重要な分野の1つに、RFIDタグやディスプレイのバックプレーンなどでの応用の可能性を持つ、有機電界効果トランジスタ(OFET:organic field effect transistor)の開発があります2,3。競争力を持った産業となるには、これらのデバイスを低コストかつ高スループットのプロセスで印刷しなければなりません。インクジェットやマイクロコンタクトプリントなどの溶液ベースの印刷技術は、魅力的なプロセスの一つと考えられていますが、これらの技術に要求される条件を満たすには、半導体材料を適切なレオロジーでインクに配合する必要があります。近年報告されている溶液プロセスでの薄膜作製が可能な化合物の中に、高い性能が期待される半導体化合物がいくつかあります4-7。ところがほとんどの場合、これらの結晶性高分子を完全に溶解させるには、刺激性の強い、環境に有害な溶媒が必要になり、これらの溶媒を使用しなければ懸濁させるのが困難であったりゲルが形成される可能性があります8。その上、デバイス製造プロセスには一般に、コーティングする基板表面のエネルギーを低減させるための前処理と、結晶性を最適化するために半導体蒸着後の熱アニール処理が必要です9。これらの追加ステップはいずれも、潜在的にプロセスのコストを引き上げています。一部のチオフェンベースの高分子に関するもう1つの欠点は、長い共役系にわたって電子密度が高いためにHOMOのエネルギー準位が高くなり、周囲の電気化学的な酸化反応に対して敏感な点です。保管状態における安定性が確認されている場合でも、高い電流密度条件で駆動されるデバイスや半導体薄膜が表面に露出しているボトムゲート型のトランジスタ構造を採用しているデバイスでは、物質の不安定性に起因する影響が顕著になります。つまり、初期に高いキャリア移動度を示しても、短期間のうちに極めて低い値に劣化してしまいます10。したがって、環境に優しい溶媒で容易に堆積可能で、最適な膜の性能を得るために追加処理を必要とせず、あらゆるデバイス構造に使用できるフレキシビリティーを備えた、空気中で完全に安定した高分子が強く求められています。ポリトリアリルアミンは、溶解性が高くアニールを必要としないアモルファス半導体ポリマーであり11、トップゲートおよびボトムゲート型トランジスタのいずれでも、5 × 10-3 cm2/Vs程度の安定した電荷キャリア移動度が得られます12。高分子主鎖中に存在するアミンの窒素原子は、隣接するフェニル基との間においてπ電子が広く非局在化するのを防ぐ役割を果たすため、高分子の有効共役長が制限され、その結果としてHOMOの位置エネルギーレベルが低くなり、非常に優れた耐酸化安定性を示します。ところが、自由に回転可能な、大きな結合角度を持つ非平面状の主鎖が分子間の最適な芳香族πスタッキングを阻害するため、アモルファス状のミクロ構造が形成されて、電荷キャリア移動度は高度な規則性を持つ結晶性材料より低くなります。ただし、プロセスの容易性と電気的な堅牢性の高い特性がそれらを十分に補完します。
合成
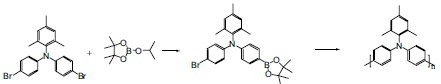
Poly(bis(4-phenyl)(2,4,6-trimethylphenyl)amine)(PTAA、702471)は、図1に示すように、パラジウム触媒を用いたSuzukiカップリングで合成しました。反応を化学量論的に行うために、トリアリルアミンモノマーの非対称二官能性ブロモボロン酸エステルによるホモカップリング反応を用いました。合成したポリマーの精製は必須で、最終的に、トルエン、クロロホルム、キシレンなど一般的な有機溶媒に可溶な黄色の固体として高分子を得ることができます。この方法で合成した場合、数平均分子量が45k以上、分子量分布が2~3の間になります。

図1パラジウム触媒を使用したSuzukiカップリングによるPoly(bis(4-phenyl)(2,4,6-trimethylphenyl)amine)の合成
トランジスタデバイス
電界効果トランジスタデバイス(図2)は、ガラス基板(Corning® EAGLE 2000)上に一般にスタガ型と呼ばれる、ボトムコンタクト、トップゲート構造で作製しました。ガラスは洗浄溶液中で超音波洗浄し、金の蒸着によって堆積したソースおよびドレイン電極は、ペンタフルオロベンゼンチオール(PFBT:pentafluorobenzenethiol)の自己組織化単分子層で処理しました。代表的なチャネル寸法は、長さが30 μm、幅が1000 μmです。高分子材料は、10 mg/mlのクロロベンゼン溶液を2000 rpmでスピンコーティングして、100℃で2分間乾燥させました。ゲート誘電体にはアモルファスフッ素ポリマー(CYTOP)を用い、同様に9 wt% FC43溶液からスピンコーティングにより堆積して、100℃で乾燥させました。トップゲート電極はアルミニウムの蒸着で作製しました。デバイスは窒素中で作製し、安定性試験のために空気中で保管および動作測定を行いました。

図2トップゲート型(スタガ型)トランジスタの構造
トランジスタの特性は、ケースレー4200半導体特性評価システムで測定しました。飽和移動度は、薄膜トランジスタモデル13を使用し、以下の式に従って計算しました。

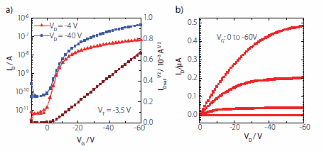
ここで、Ci はゲート誘電体の単位面積あたりの静電容量(2.1 nF cm-2)です。5 × 10-3 cm2/Vsというキャリア移動度は、図3に示す電流電圧特性から求めました。代表的なデバイスの伝達特性を図3aに示します。オン/オフ比は約104、しきい値電圧は0 V付近です。低いソースドレイン電圧での出力特性が線形(図3b)であることからも分かるように、PFBTによる電極処理によってAu仕事関数の低減に成功し、コンタクト注入に問題がないことが明らかです。

図3ペンタフルオロベンゼンチオール(PFBT)処理した金ソースおよびドレイン電極とCytop誘電体を持つ、PTAAトップゲート-ボトムコンタクトデバイスの伝達特性(a)、および出力特性(b)。チャネル長(L)は30 μm、幅(W)は1000 μmであり、このデバイスの電荷キャリア移動度は5 × 10-3 cm2/Vsに相当します。
結論
ポリアリルアミンは、空気中での安定性を持った溶液処理可能な多用途有機半導体です。その特徴は周囲の大気や空気中の水分に対して不活性である点にあります。この性質によって長時間のデバイス駆動時に安定した電流を持続的に供給することが可能であり、安定性において大半の半導体材料を凌ぎます。また、アモルファス特性によってさまざまな溶媒に対して高い溶解性をもち、高い結晶性を持つチオフェンポリマーの溶解に必要とされる代表的な塩素系芳香族溶媒以外にも溶媒に関して多くの選択肢があります。さらに、最適なデバイス性能を得るための表面配向層や高温アニール処理も必要としないことが、この高分子材料の柔軟性を特徴的に表しています。
関連製品
参考文献
続きを確認するには、ログインするか、新規登録が必要です。
アカウントをお持ちではありませんか?