Millipore Sigma Vibrant Logo

233264 CMP-Sialic Acid, Disodium Salt - CAS 149007-28-3 - Calbiochem

View Products on Sigmaaldrich.com
233264
  
Retrieving price...
Price could not be retrieved
Minimum Quantity is a multiple of
Maximum Quantity is
Upon Order Completion More Information
You Saved ()
 
Request Pricing
Limited Availability
Limited Availability
In Stock 
Discontinued
Limited Quantities Available
Availability to be confirmed
    Remaining : Will advise
      Remaining : Will advise
      Will advise
      Contact Customer Service
      Contact Customer Service

       

      Contact Customer Service

      Overview

      Replacement Information

      Key Spec Table

      CAS #Empirical Formula
      149007-28-3C₂₀H₂₉N₄O₁₆P•2Na
      Description
      OverviewCMP-sialic acid is the activated form of sialic acid that is required for the biosynthesis of sialic acid-containing complex carbohydrates. It is a widespread carbohydrate with numerous biological functions, including blood protein half-life regulation, variety of toxin neutralization, cellular adhesion and glycoprotein lytic protection. Also available as a 25 mM solution in H2O (Cat. No. 505223).
      Catalogue Number233264
      Brand Family Calbiochem®
      SynonymsCMP-N-Acetylneuraminic Acid, 2Na, CMP-NANA, CMP-Neu5Ac
      References
      ReferencesSchauer, R., et al. 1972. Hoppe Seyler's Z. Physiol. Chem. 6, 353.
      Product Information
      CAS number149007-28-3
      FormWhite solid
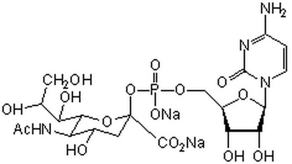
      Hill FormulaC₂₀H₂₉N₄O₁₆P•2Na
      Chemical formulaC₂₀H₂₉N₄O₁₆P•2Na
      Structure formula ImageStructure formula Image
      Quality SegmentMQ100
      Applications
      Biological Information
      Purity≥95% by HPLC
      Physicochemical Information
      Dimensions
      Materials Information
      Toxicological Information
      Safety Information according to GHS
      Safety Information
      Product Usage Statements
      Storage and Shipping Information
      Ship Code Blue Ice Only
      Toxicity Standard Handling
      Storage -20°C
      Do not freeze Ok to freeze
      Special InstructionsFollowing reconstitution, aliquot and freeze (-20°C). Stock solutions are stable for up to 3 months at -20°C. Unstable under acidic conditions.
      Packaging Information
      Transport Information
      Supplemental Information
      Specifications
      Global Trade ITEM Number
      Catalogue Number GTIN
      233264 0

      Documentation

      CMP-Sialic Acid, Disodium Salt - CAS 149007-28-3 - Calbiochem SDS

      Title

      Safety Data Sheet (SDS) 

      CMP-Sialic Acid, Disodium Salt - CAS 149007-28-3 - Calbiochem Certificates of Analysis

      TitleLot Number
      233264

      References

      Reference overview
      Schauer, R., et al. 1972. Hoppe Seyler's Z. Physiol. Chem. 6, 353.
      Data Sheet

      Note that this data sheet is not lot-specific and is representative of the current specifications for this product. Please consult the vial label and the certificate of analysis for information on specific lots. Also note that shipping conditions may differ from storage conditions.

      Revision20-April-2022 JSW
      SynonymsCMP-N-Acetylneuraminic Acid, 2Na, CMP-NANA, CMP-Neu5Ac
      DescriptionCMP-sialic acid is the activated form of sialic acid that is required for the biosynthesis of sialic acid-containing complex carbohydrates. It is a widespread carbohydrate with numerous biological functions, including blood protein half-life regulation, variety of toxin neutralization, cellular adhesion and glycoprotein lytic protection.
      FormWhite solid
      CAS number149007-28-3
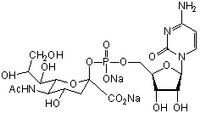
      Chemical formulaC₂₀H₂₉N₄O₁₆P•2Na
      Structure formulaStructure formula
      Purity≥95% by HPLC
      SolubilityH₂O (20 mg/ml)
      Storage -20°C
      Do Not Freeze Ok to freeze
      Special InstructionsFollowing reconstitution, aliquot and freeze (-20°C). Stock solutions are stable for up to 3 months at -20°C. Unstable under acidic conditions.
      Toxicity Standard Handling
      ReferencesSchauer, R., et al. 1972. Hoppe Seyler's Z. Physiol. Chem. 6, 353.