Select a Size
About This Item
form
liquid
manufacturer/tradename
Novagen®
storage condition
OK to freeze
technique(s)
transfection: suitable
shipped in
wet ice
storage temp.
2-8°C
Quality Level
Related Categories
Disclaimer
Features and Benefits
- Highly efficient DNA transfer for both stable and transient transfections
- Compatibility with both serum-containing and serum-free media
- Simple protocolno need for media changes
- Ideal for high-throughput transfection in a multi-well plate format
- Ideal for retrovirus production for T-cell transduction
- Works for a multitude of cell types with minimal optimization
- Provides higher transfection efficiency and lower cytotoxicity than reagents from other suppliers
- The 1 ml size provides enough reagent to perform up to 500 transfections in standard 35 mm plates
General description
Stuart Rulten. Research Fellow. University of Sussex
""Since we have been working with GeneJuice, we have saved a lot of time and money!""
Dr. Andrea Kress, Institute of Clinical and Molecular Virology, Erlangen, Germany
""I find that Genejuice works for a multitude of cell types with minimal optimization""
Caitriona Marie Lyons. PhD Student. University College Cork, Ireland
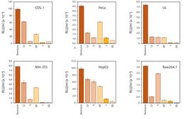
Transfection is the process by which nucleic acids are introduced into mammalian cells. GeneJuice Transfection Reagent is a proprietary formulation optimized for maximal transfection efficiency, ease of use, and minimal cytotoxicity for mammalian cells. Whereas many available transfection reagents are based on cationic lipid formulation, GeneJuice Transfection Reagent is composed of a nontoxic cellular protein and a small amount of a novel polyamine. GeneJuice Transfection Reagent enables highly efficient DNA transfer in both stable and transient transfections of eukaryotic cells and is ideal for high-throughput transfections in a multi-well plate format. The unique composition is compatible with both serum-containing and serum-free media, making media changes unnecessary during transfection experiments. Genejuice is a superior alternative to a wide variety of other techniques including calcium phosphate coprecipitation, electroporation, microinjection, biolistic particle delivery, lipofection, and complex formation with DEAE-dextran. The 1 ml size provides enough reagent to perform up to 500 transfections in standard 35 mm plates.
Cell lines transfected with GeneJuice® Transfection Reagent
| Cell Lines: | Primary Cells: | ||||
|---|---|---|---|---|---|
| 10T1/2 293T 3T3 NIH 3T3 Swiss 3T3-L1 A204 A431 A549 alpha TC1-6 AR 42J As4.1 AtT-20 B50 BC-1 BC-2 BC3 BCBL BHK-21 C3H/10T1/2 C6 C2C12 | Caco-2 Caki-1 Calpan-1 Calu-1 Calu-6 CCL-131 CFPAC-1 Chang Liver CHO CHO-7 CHO-IR CHO-K1 COS-1 COS-7 CS-1 CV-1 Daudi DDTI MF-2 DT40 ECV304 EL4 | ES-E14TG2a EVSCC17M H9c2 HCT-116 HEK293 HeLa HeLa B HeLa T4 Hep 3B2.1-7 HepG2 Hepa 1-6 Ht-29 HTB-37 HTB-45 Huh-7 HUVEC IC21 IEC-6 JEG-3 Jurkat KB | L57-3-11 L-6 L-929 MA-10 McA-RH7777 MCF-7 MCF-10-2A MDCK Melanocyte MG-63 Neuro 2A Neuroblastoma NRK NT2/D1 OV-1063 OVCAR3 P4 P19 PC12 PA317 PAM212 | PS-1 R2C RAW 264.7 RBL-2H3 RMP-41 SAOS-2 SC-1 Schneider line2 SK-N-MC SK-N-SH SKOV3 STO SW-480 SW-837 T3M4 TM4 U937 UCD Vero | Aortic smooth muscle cells Astrocytes Angioblasts Chondrocytes Chromaffin cells Epithelial cells: mammary prostate tracheal Fibroblasts Keratinocytes |
Legal Information
Other Notes
Preparation Note
signalword
Danger
hcodes
Hazard Classifications
Eye Irrit. 2 - Flam. Liq. 2
Storage Class
3 - Flammable liquids
wgk
WGK 1
flash_point_f
67.1 °F - Information taken from reference works and the literature.
flash_point_c
19.5 °C - Information taken from reference works and the literature.
Regulatory Listings
Regulatory Listings are mainly provided for chemical products. Only limited information can be provided here for non-chemical products. No entry means none of the components are listed. It is the user’s obligation to ensure the safe and legal use of the product.
Group 4: Flammable liquids + Alcohols + Hazardous rank II
fsl
Substances Subject to be Indicated Names
ishl_indicated
Substances Subject to be Notified Names
ishl_notified
70967-ML: + 70967-100ML: + US170967-4: + 70967-5: + 70967-.3ML: + 70967-6: + 70967-EA: + 70967-3: + 70967-4: + 70967-1ML: + 70967-10ML:
jan
Certificates of Analysis (COA)
Search for Certificates of Analysis (COA) by entering the products Lot/Batch Number. Lot and Batch Numbers can be found on a product’s label following the words ‘Lot’ or ‘Batch’.
Already Own This Product?
Find documentation for the products that you have recently purchased in the Document Library.
Related Content
Major technological advances have made the production of monoclonal antibodies quicker and more efficient. There are three established platforms for antibody discovery. We offer reagents for production of monoclonal antibody libraries using each of these techniques.
大きな技術的進歩により、モノクローナル抗体のより迅速で効率的な製造が実現しました。抗体発見のために確立されたプラットフォームは3つあります。メルクは、それぞれの方法を使ったモノクローナル抗体ライブラリー製造のための試薬をご提供しています。
Successful delivery of nucleic acids and protein in eukaryotic cells requires a transfection protocol that maximizes transfection efciency, minimizes cytotoxicity, and results in the desired level of gene expression or silencing. EMD Millipore recognizes that there is not a one-size-ts-all solution to your transfection needs. We provide the breadth of transfection reagents necessary to give you the freedom to design the perfect experiment.
Global Trade Item Number
| SKU | GTIN |
|---|---|
| 219407-25MGCN | 07790788048716 |
| 70967-3CN | 07790788052928 |
| 70967-5CN | 04055977256222 |
| 70967-4CN | 04055977256215 |
| 70967-6CN | 04055977255577 |
Our team of scientists has experience in all areas of research including Life Science, Material Science, Chemical Synthesis, Chromatography, Analytical and many others.
Contact Technical Service
