Select a Size
About This Item
Product Name
Hygromycin B, from Streptomyces hygroscopicus
InChI
1S/C20H37N3O13/c1-23-7-2-5(21)9(26)15(10(7)27)33-19-17-16(11(28)8(4-25)32-19)35-20(36-17)18(31)13(30)12(29)14(34-20)6(22)3-24/h5-19,23-31H,2-4,21-22H2,1H3/t5-,6-,7+,8-,9+,10-,11+,12-,13+,14-,15-,16+,17+,18-,19+,20+/m1/s1
SMILES string
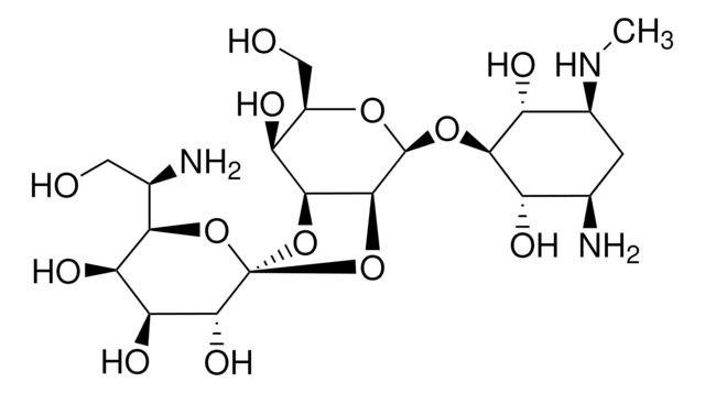
CN[C@H]1C[C@@H](N)[C@H](O)[C@@H](O[C@@H]2O[C@H](CO)[C@H](O)[C@@H]3O[C@]4(O[C@H]([C@H](N)CO)[C@H](O)[C@H](O)[C@H]4O)O[C@H]23)[C@@H]1O
InChI key
GRRNUXAQVGOGFE-XKIAHZFYSA-N
biological source
Streptomyces hygroscopicus
sterility
non-sterile; 0.2 μm filtered
assay
80% (HPLC)
form
buffered aqueous solution
composition
Hygromycin B, >80% HPLC
packaging
pkg of 20 mL (1 g)
manufacturer/tradename
Roche
concentration
50 mg/mL
technique(s)
transfection: suitable
Looking for similar products? Visit Product Comparison Guide
Related Categories
Analysis Note
Application
Biochem/physiol Actions
Antimicrobial Spectrum: Hygromycin B acts against bacteria, fungi and higher eukaryotic cells.
General description
- Formula: C20H37N3O13
- LD50: 6 mg/kg in mouse (i.v.);13 mg/kg in guinea pig (i.p.); 63 mg/kg in rat (i.p.)
- Molecular weight: Mr = 527.5
- Working concentration: 50 - 1,000 μg/ml in cell culture. A commonly used concentration for the selection of mammalian cells is 200 μg/ml. However, the optimal concentration must be experimentally determined, since it may vary depending on the type of cell used.
Other Notes
We do not have this information.
Physical form
Preparation Note
signalword
Danger
Hazard Classifications
Acute Tox. 1 Inhalation - Acute Tox. 3 Oral - Acute Tox. 4 Dermal - Eye Dam. 1 - Resp. Sens. 1 - Skin Sens. 1
Storage Class
6.1D - Non-combustible acute toxic Cat.3 / toxic hazardous materials or hazardous materials causing chronic effects
wgk
WGK 1
flash_point_f
does not flash
flash_point_c
does not flash
Choose from one of the most recent versions:
Already Own This Product?
Find documentation for the products that you have recently purchased in the Document Library.
Articles
Antibiotic kill curve is a dose response experiment in which mammalian cells are subjected to increasing amounts of selection antibiotic
微生物死滅曲線は、哺乳類細胞に対し選択抗生物質のばく露量を増やしていく用量反応実験です。
Our team of scientists has experience in all areas of research including Life Science, Material Science, Chemical Synthesis, Chromatography, Analytical and many others.
Contact Technical Service

