Select a Size
About This Item
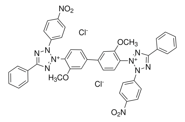
InChI
1S/C40H30N10O6.2ClH/c1-55-37-25-29(13-23-35(37)47-43-39(27-9-5-3-6-10-27)41-45(47)31-15-19-33(20-16-31)49(51)52)30-14-24-36(38(26-30)56-2)48-44-40(28-11-7-4-8-12-28)42-46(48)32-17-21-34(22-18-32)50(53)54;;/h3-26H,1-2H3;2*1H/q+2;;/p-2
SMILES string
[Cl-].[Cl-].COc1cc(ccc1-[n+]2nc(nn2-c3ccc(cc3)[N+]([O-])=O)-c4ccccc4)-c5ccc(c(OC)c5)-[n+]6nc(nn6-c7ccc(cc7)[N+]([O-])=O)-c8ccccc8
InChI key
FSVCQIDHPKZJSO-UHFFFAOYSA-L
form
tablet
technique(s)
titration: suitable
color
yellow
pH
4.5-5.5
solubility
soluble, clear, yellow
application(s)
diagnostic assay manufacturing
hematology
histology
storage temp.
2-8°C
Quality Level
General description
Application
- to measure superoxide radicals
- in lactate dehydrogenase quantification assay
- for blot development in western blotting analysis
- in NADPH-d histochemistry
- as a reagent to analyse the properties of murine intestinal mucins by electrophoresis and histology
- in immunohistochemistry
Preparation Note
signalword
Danger
hcodes
Hazard Classifications
Acute Tox. 4 Oral - Eye Dam. 1 - Skin Irrit. 2 - STOT SE 3
target_organs
Respiratory system
Storage Class
11 - Combustible Solids
wgk
WGK 3
flash_point_f
Not applicable
flash_point_c
Not applicable
ppe
dust mask type N95 (US), Eyeshields, Gloves
Regulatory Listings
Regulatory Listings are mainly provided for chemical products. Only limited information can be provided here for non-chemical products. No entry means none of the components are listed. It is the user’s obligation to ensure the safe and legal use of the product.
Group 5: Self-reactive substances + Nitro compounds + Hazardous rank II + 2nd self-reactive materials
fsl
Substances Subject to be Indicated Names
ishl_indicated
Substances Subject to be Notified Names
ishl_notified
N5514-25TAB:4548174007471 + N5514-VAR: + N5514-10TAB:4548174007464 + N5514-BULK:
jan
Choose from one of the most recent versions:
Already Own This Product?
Find documentation for the products that you have recently purchased in the Document Library.
Articles
NBT-BCIP substrate system aids in western blotting and immunohistological staining, producing a blue-purple insoluble end product.
Related Content
Our team of scientists has experience in all areas of research including Life Science, Material Science, Chemical Synthesis, Chromatography, Analytical and many others.
Contact Technical Service
