Skip to Content
Merck

42364

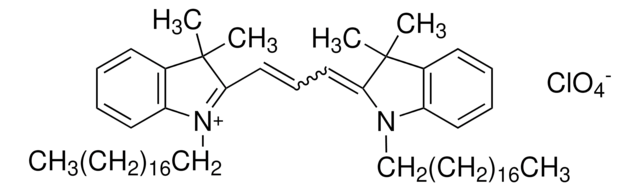
1,1′-Dioctadecyl-3,3,3′,3′-tetramethylindocarbocyanine perchlorate

BioReagent, suitable for fluorescence, ≥98.0% (TLC)

Synonym(s):

DiI

Sign In to View Organizational & Contract Pricing.

Select a Size


About This Item

Empirical Formula (Hill Notation):
C59H97ClN2O4
CAS Number:
Molecular Weight:
933.87
UNSPSC Code:
12171500
NACRES:
NA.32
PubChem Substance ID:
MDL number:
Beilstein/REAXYS Number:
8251870
Technical Service
Need help? Our team of experienced scientists is here for you.
Let Us Assist
Technical Service
Need help? Our team of experienced scientists is here for you.
Let Us Assist

product line

BioReagent

Quality Level

assay

≥98.0% (TLC)

mol wt

933.87 g/mol

color

dark violet

mp

68 °C (dec.) (lit.)

solubility

DMF: soluble, DMSO: soluble, methanol: soluble

fluorescence

λex 550 nm; λem 567 nm in phosphate buffer/SDS pH 7.0

suitability

suitable for fluorescence

SMILES string

[O-]Cl(=O)(=O)=O.CCCCCCCCCCCCCCCCCCN1c2ccccc2C(C)(C)/C1=C\C=C\C3=[N+](CCCCCCCCCCCCCCCCCC)c4ccccc4C3(C)C

InChI

1S/C59H97N2.ClHO4/c1-7-9-11-13-15-17-19-21-23-25-27-29-31-33-35-41-50-60-54-46-39-37-44-52(54)58(3,4)56(60)48-43-49-57-59(5,6)53-45-38-40-47-55(53)61(57)51-42-36-34-32-30-28-26-24-22-20-18-16-14-12-10-8-2;2-1(3,4)5/h37-40,43-49H,7-36,41-42,50-51H2,1-6H3;(H,2,3,4,5)/q+1;/p-1

InChI key

JVXZRNYCRFIEGV-UHFFFAOYSA-M

Looking for similar products? Visit Product Comparison Guide

General description

DiI is a Dye Aye, a chemical with CAS number 41085-99-8. It is a fluorescent lipophilic cationic indocarbocyanine dye, which is usually made as a perchlorate salt. Mostly used for scientific staining purposes, such as single molecule imaging, fate mapping and neuronal tracing (as DiI is retained in the lipid bilayers).

Application

1,1′-Dioctadecyl-3,3,3′,3′-tetramethylindocarbocyanine perchlorate is used for the following applications:
  • Preparation of Dil solution
  • fluorescent membrane dye
  • Di-I Staining

Biochem/physiol Actions

Lipophilic carbocyanine dye used primarily for optical recordings of membrane voltage and for studies of membrane fluidity. Retrograde stain for neurons; provides intense, long-lasting staining of live neurons in vivo and in vitro.

Other Notes

Lipophilic fluorescent probe for studying membranes

Storage Class

11 - Combustible Solids

wgk

WGK 3

flash_point_f

Not applicable

flash_point_c

Not applicable

ppe

Eyeshields, Gloves, type N95 (US)


Regulatory Listings

Regulatory Listings are mainly provided for chemical products. Only limited information can be provided here for non-chemical products. No entry means none of the components are listed. It is the user’s obligation to ensure the safe and legal use of the product.

Group 1: Oxidizing solids + Perchlorates + Hazardous rank I + 1st oxidizing solid

fsl

42364-100MG: + 42364-VAR: + 42364-500MG: + 42364-BULK:

jan


Choose from one of the most recent versions:

Certificates of Analysis (COA)

Lot/Batch Number

It looks like we've run into a problem, but you can still download Certificates of Analysis from our Documents section.

If you need assistance, please contact Customer Support

Already Own This Product?

Find documentation for the products that you have recently purchased in the Document Library.

Visit the Document Library

R D Klausner et al.
Biochemistry, 19(26), 6199-6203 (1980-12-23)
We have examined the phase partition preferences of the even chain length (n = 10-22) diacyl-3'3'-indocarbo-cyanine iodides (Cn diI) incorporated in disaturated lecithin (PC) vesicles. Two parameters were used to determine this phase preference: (i) the direction of shift of
Ralph Michael et al.
Vision research, 48(4), 626-634 (2008-01-29)
We evaluated the gross morphology, location, and fiber cell architecture of equatorial cortical opacities in the aging human lens. Using dark-field stereomicroscopy, we photographed donor lenses in toto and as thick slices. In addition, we investigated the details of the
Yong N Li et al.
The Journal of comparative neurology, 520(16), 3786-3802 (2012-08-22)
Bipolar cells convey luminance, spatial, and color information from photoreceptors to amacrine and ganglion cells. We studied the photoreceptor connectivity of 321 bipolar cells in the adult zebrafish retina. 1,1'-Dioctadecyl-3,3,3',3'-tetramethylindocarbocyanine perchlorate (DiI) was inserted into whole-mounted transgenic zebrafish retinas to
Calorimetric investigation of the phase partitioning of the fluorescent carbocyanine probes in phosphatidylcholine bilayers.
M F Ethier et al.
Biochemistry, 22(5), 1178-1182 (1983-03-01)
Yiwen Li et al.
Nature protocols, 3(11), 1703-1708 (2008-10-11)
We describe a protocol to rapidly and reliably visualize blood vessels in experimental animals. Blood vessels are directly labeled by cardiac perfusion using a specially formulated aqueous solution containing 1,1'-dioctadecyl-3,3,3',3'-tetramethylindocarbocyanine perchlorate (DiI), a lipophilic carbocyanine dye, which incorporates into endothelial

Articles

Nitric oxide (NO) as a signal transporter in neurons, endothelial cells and in the immune system.

Our team of scientists has experience in all areas of research including Life Science, Material Science, Chemical Synthesis, Chromatography, Analytical and many others.

Contact Technical Service