Select a Size
About This Item
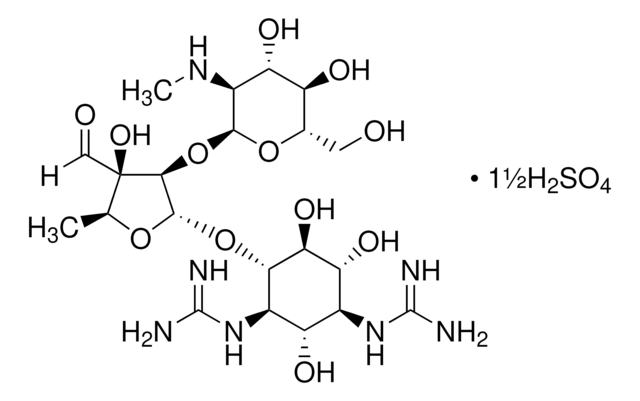
InChI key
QTENRWWVYAAPBI-YZTFXSNBSA-N
InChI
1S/2C21H39N7O12.3H2O4S/c2*1-5-21(36,4-30)16(40-17-9(26-2)13(34)10(31)6(3-29)38-17)18(37-5)39-15-8(28-20(24)25)11(32)7(27-19(22)23)12(33)14(15)35;3*1-5(2,3)4/h2*4-18,26,29,31-36H,3H2,1-2H3,(H4,22,23,27)(H4,24,25,28);3*(H2,1,2,3,4)/t2*5-,6-,7-,8+,9-,10-,11-,12+,13-,14-,15-,16-,17-,18-,21+;;;/m00.../s1
SMILES string
OS(O)(=O)=O.OS(O)(=O)=O.OS(O)(=O)=O.CN[C@H]1[C@H](O)[C@@H](O)[C@H](CO)O[C@H]1O[C@H]2[C@@H](O[C@@H](C)[C@]2(O)C=O)O[C@@H]3[C@@H](O)[C@H](O)[C@@H](NC(N)=N)[C@H](O)[C@H]3NC(N)=N.CN[C@H]4[C@H](O)[C@@H](O)[C@H](CO)O[C@H]4O[C@H]5[C@@H](O[C@@H](C)[C@]5(O)C=O)O[C@@H]6[C@@H](O)[C@H](O)[C@@H](NC(N)=N)[C@H](O)[C@H]6NC(N)=N
product line
BioReagent
form
powder
potency
≥720 I.U. per mg (dried basis)
storage condition
(Keep container tightly closed in a dry and well-ventilated place. Keep in a dry place.)
technique(s)
cell culture | mammalian: suitable
color
white to off-white
antibiotic activity spectrum
Gram-negative bacteria, Gram-positive bacteria, mycobacteria
mode of action
protein synthesis | interferes
storage temp.
2-8°C
Quality Level
Looking for similar products? Visit Product Comparison Guide
Related Categories
General description
Application
Biochem/physiol Actions
Mode of Resistance: A mutation in rpsL, a gene for S12 ribosomal protein, prevents binding of streptomycin to the ribosome. An aminoglycoside phosphotransferase also inactivates streptomycin.
Antimicrobial spectrum: Streptomycin acts against gram-negative and gram-positive bacteria.
Preparation Note
Other Notes
Disclaimer
signalword
Warning
hcodes
Hazard Classifications
Acute Tox. 4 Oral - Repr. 2
Storage Class
11 - Combustible Solids
wgk
WGK 3
flash_point_f
Not applicable
flash_point_c
Not applicable
ppe
dust mask type N95 (US), Eyeshields, Faceshields, Gloves
Regulatory Listings
Regulatory Listings are mainly provided for chemical products. Only limited information can be provided here for non-chemical products. No entry means none of the components are listed. It is the user’s obligation to ensure the safe and legal use of the product.
S9137-25G: + S9137-50G: + S9137-VAR: + S9137-5G: + S9137-BULK: + S9137-100G:
jan
Choose from one of the most recent versions:
Already Own This Product?
Find documentation for the products that you have recently purchased in the Document Library.
Articles
Antibiotics targeting bacterial ribosomes disrupt protein synthesis, a key process in bacterial growth inhibition.
Our team of scientists has experience in all areas of research including Life Science, Material Science, Chemical Synthesis, Chromatography, Analytical and many others.
Contact Technical Service
