Select a Size
About This Item
Product Name
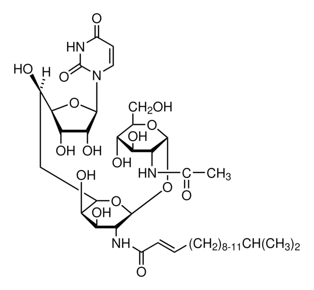
Tunicamycin from Streptomyces sp.,
SMILES string
CC(C)CCCCCCCC\C=C\C(=O)N[C@@H]1[C@@H](O)[C@@H](O)[C@@H](C[C@@H](O)[C@H]2O[C@H]([C@H](O)[C@@H]2O)N3C=CC(=O)NC3=O)O[C@H]1O[C@@H]4O[C@@H](CO)[C@H](O)[C@@H](O)[C@@H]4NC(C)=O
InChI
1S/C37H60N4O16/c1-18(2)12-10-8-6-4-5-7-9-11-13-23(45)39-26-30(50)27(47)21(54-36(26)57-35-25(38-19(3)43)29(49)28(48)22(17-42)55-35)16-20(44)33-31(51)32(52)34(56-33)41-15-14-24(46)40-37(41)53/h11,13-15,18,20-22,25-36,42,44,47-52H,4-10,12,16-17H2,1-3H3,(H,38,43)(H,39,45)(H,40,46,53)/b13-11+/t20-,21-,22+,25+,26-,27+,28+,29+,30-,31+,32-,33-,34-,35+,36+/m1/s1
InChI key
YJQCOFNZVFGCAF-WPTOCQRYSA-N
solubility
95% ethanol: soluble 1 mg/mL, clear to faintly hazy, THF: soluble <1 mg/mL, dioxane: soluble <1 mg/mL, DMF: soluble >10 mg/mL, pyridine: >10 mg/mL, DMSO: soluble 4.9-5.1 mg/mL, clear to slightly hazy, colorless to yellow, methanol: slightly soluble 4.9-5.1 mg/mL, methanol: soluble 4.9-5.1 mg/mL, clear to slightly hazy, colorless to yellow, acetone: insoluble, aqueous base: insoluble, chloroform: insoluble, ethyl acetate: insoluble
antibiotic activity spectrum
fungi, viruses
mode of action
protein synthesis | interferes
storage temp.
2-8°C
Quality Level
General description
Application
Biochem/physiol Actions
Preparation Note
signalword
Danger
hcodes
Hazard Classifications
Acute Tox. 1 Oral
Storage Class
6.1A - Combustible acute toxic Cat. 1 and 2 / very toxic hazardous materials
wgk
WGK 3
flash_point_f
Not applicable
flash_point_c
Not applicable
ppe
Eyeshields, Faceshields, Gloves, type P3 (EN 143) respirator cartridges
Regulatory Listings
Regulatory Listings are mainly provided for chemical products. Only limited information can be provided here for non-chemical products. No entry means none of the components are listed. It is the user’s obligation to ensure the safe and legal use of the product.
T7765-5MG: + T7765-50MG-PW: + T7765-1MG: + T7765-VAR: + T7765-5MG-PW: + T7765-10MG: + T7765-1MG-PW: + T7765-10MG-PW: + T7765-50MG: + T7765-BULK:
jan
Choose from one of the most recent versions:
Already Own This Product?
Find documentation for the products that you have recently purchased in the Document Library.
Articles
Bioactive small molecules for immune system signaling target identification/validation and antibiotics, antivirals, and antifungals offered.
β-lactam antibacterials inhibit transpeptidase enzymes, preventing peptidoglycan assembly in both Gram-positive and Gram-negative bacteria.
Related Content
Our team of scientists has experience in all areas of research including Life Science, Material Science, Chemical Synthesis, Chromatography, Analytical and many others.
Contact Technical Service