コンテンツへスキップ
Merck

11093070910

Roche

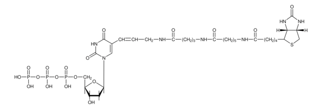
Biotin-16-dUTP

別名:

Bio-16-dUTP 四リチウム塩, ビオチン標識ウリジン, 5-(N-[N-ビオチニル-ε-アミノカプロイル-γ-アミノブチリル]-3-アミノアリル)-2′-デオキシウリジン5′-三リン酸塩

ログインで組織・契約価格をご覧ください。

サイズを選択してください


この商品について

実験式(ヒル表記法):
C32H52N7O18P3S
CAS番号:
分子量:
947.78
UNSPSC Code:
41116100
MDL number:
テクニカルサービス
お困りのことがあれば、経験豊富なテクニカルサービスチームがお客様をサポートします。
お手伝いします
テクニカルサービス
お困りのことがあれば、経験豊富なテクニカルサービスチームがお客様をサポートします。
お手伝いします

form

solution

packaging

pkg of 50 μL (50 nmol; 1mM)

manufacturer/tradename

Roche

color

colorless

solubility

water: miscible

storage temp.

−20°C

Quality Level

類似した製品をお探しですか? 訪問 製品比較ガイド

Analysis Note

標準的な分析:少なくとも85%のデオキシヌクレオシド三リン酸(ビオチン-16-dUTP)(HPLC、面積%)。
注:ご参考までに、ビオチン-dUTPは簡便な標識混合物(従来のdNTPおよびビオチン-16-dUTPが含有された単一溶液)、および技術に特異的な混合物(単一バイアル中のヌクレオチド、緩衝液、および酵素)でもご利用になれます。
吸収:ビオチン-16-dUTP(pH 7.3)のスペクトルデータ:
Emax241:E = 10.700;
Emax292:E = 7.000;
Emax265:E = 4.400;
A292/265:1.6.

Application

ビオチン-16-dUTPは以下で使用されています:
  • ランダムプライミング、PCR標識、またはニックトランスレーションなどの非放射性DNA標識。ランダムプライムDNA標識反応またはニックトランスレーションにおいて35%ビオチン-16-dUTPと65%dTTPの比率で、ならびにPCRにおいて、ビオチン-16-dUTPはdTTPの代わりに組み込まれます。
  • ターミナルトランスフェラーゼ、DNAポリメラーゼI(ホロ酵素およびクレノウフラグメント)、Taq DNAポリメラーゼおよび逆転写酵素(例、Transcriptor)の基質として。このヌクレオチドは、3′-末端の標識において、ターミナルトランスフェラーゼの基質としても役立ちます。
  • 蛍光in situハイブリダイゼーション(FISH)

Biochem/physiol Actions

ビオチンは、ヒストンのリジン残基と会合することにより遺伝子調節およびクロマチン構造に影響を与えます。それは適応免疫Tおよびナチュラルキラー細胞の作用に影響を及ぼします。マウスのビオチン欠乏症は炎症の増強を示しています。また、研究ではビオチン欠乏の条件下でのヒト樹状細胞の炎症反応の増強も示されました。

General description

ビオチンは、カルボキシラーゼの補酵素としてはたらく水溶性ビタミンです。ビオチン-16-dUTPは、サザンブロッティングとノーザンブロッティング、in situハイブリダイゼーション、サンドイッチアッセイなどのさまざまな方法で特定のDNAおよびRNA配列を検出するために一般的に使用されるビオチン化DNAプローブの作製に使用されます。

Other Notes

ビオチン標識DNAは以下を用いて検出できます:ストレプトアビジン - アルカリホスファターゼ抱合体と化学発光基質(CSPD、CDP-Star)または発色基質Biotin Luminescence Detection Kit。

保管分類

12 - Non Combustible Liquids

wgk

nwg

flash_point_f

does not flash

flash_point_c

does not flash


最新バージョンのいずれかを選択してください:

試験成績書(COA)

Lot/Batch Number

適切なバージョンが見つかりませんか。

特定のバージョンが必要な場合は、ロット番号またはバッチ番号で特定の証明書を検索できます。

以前この製品を購入いただいたことがある場合

文書ライブラリで、最近購入した製品の文書を検索できます。

文書ライブラリにアクセスする

Sudhanshu Agrawal et al.
American journal of physiology. Cell physiology, 311(3), C386-C391 (2016-07-15)
The water-soluble biotin (vitamin B7) is indispensable for normal human health. The vitamin acts as a cofactor for five carboxylases that are critical for fatty acid, glucose, and amino acid metabolism. Biotin deficiency is associated with various diseases, and mice
Zheng Li et al.
Nature, 583(7817), 625-630 (2020-07-17)
The recent discovery of N6-methyladenine (N6-mA) in mammalian genomes suggests that it may serve as an epigenetic regulatory mechanism1. However, the biological role of N6-mA and the molecular pathways that exert its function remain unclear. Here we show that N6-mA
Ling Hu et al.
Frontiers in cell and developmental biology, 9, 645368-645368 (2021-07-09)
Schizophrenia (SCZ) is a chronic and severe mental disease that affects around 1% of the population. The precise etiology of SCZ still remains largely unknown, and no conclusive mechanisms are firmly established. Recent advances in epidemiological and clinical investigation support
Di Hu et al.
Journal of neurotrauma, 37(21), 2244-2260 (2020-06-20)
Individuals with spinal cord injury (SCI) often develop debilitating neuropathic pain, which may be driven by neuronal damage and neuroinflammation. We have previously demonstrated that treatment using 670 nm (red) light irradiation alters microglia/macrophage responses and alleviates mechanical hypersensitivity at 7
Gadi Lalazar et al.
Cancer discovery, 11(10), 2544-2563 (2021-06-16)
To repurpose therapeutics for fibrolamellar carcinoma (FLC), we developed and validated patient-derived xenografts (PDX) from surgical resections. Most agents used clinically and inhibitors of oncogenes overexpressed in FLC showed little efficacy on PDX. A high-throughput functional drug screen found primary

ライフサイエンス、有機合成、材料科学、クロマトグラフィー、分析など、あらゆる分野の研究に経験のあるメンバーがおります。.

製品に関するお問い合わせはこちら(テクニカルサービス)