サイズを選択してください
この商品について
製品名
G 418 二硫酸塩 溶液, 50 mg/mL in H2O, 0.1 μm filtered, BioReagent, suitable for cell culture
SMILES string
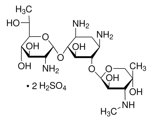
OS(O)(=O)=O.OS(O)(=O)=O.CN[C@H]1[C@H](O)[C@@H](OC[C@@]1(C)O)O[C@H]2[C@H](N)C[C@H](N)[C@@H](O[C@H]3O[C@H]([C@H](C)O)[C@@H](O)[C@H](O)[C@H]3N)[C@@H]2O
InChI
1S/C20H40N4O10.2H2O4S/c1-6(25)14-11(27)10(26)9(23)18(32-14)33-15-7(21)4-8(22)16(12(15)28)34-19-13(29)17(24-3)20(2,30)5-31-19;2*1-5(2,3)4/h6-19,24-30H,4-5,21-23H2,1-3H3;2*(H2,1,2,3,4)/t6?,7-,8+,9+,10+,11-,12-,13-,14+,15+,16-,17-,18+,19-,20+;;/m0../s1
InChI key
UHEPSJJJMTWUCP-NKCAIAFTSA-N
biological source
Micromonospora echinospora
sterility
0.1 μm filtered
product line
BioReagent
form
solution
potency
50-60 mg per mL
mol wt
692.7
packaging
pkg of 10 and 100 mL
concentration
50 mg/mL in H2O
technique(s)
cell culture | mammalian: suitable
impurities
endotoxin, tested
color
colorless
solubility
H2O: 50 mg/mL, clear
antibiotic activity spectrum
parasites
mode of action
protein synthesis | interferes
storage temp.
2-8°C
Quality Level
類似した製品をお探しですか? 訪問 製品比較ガイド
関連するカテゴリー
General description
Application
Biochem/physiol Actions
抗菌スペクトル:G418は、iNOSプロモーターコンストラクトおよびネオマイシン耐性遺伝子を安定に形質移入した細胞を選択し、原性動物および蠕虫に対して活性を示します。
Disclaimer
signalword
Danger
hcodes
Hazard Classifications
Resp. Sens. 1 - Skin Sens. 1
保管分類
12 - Non Combustible Liquids
wgk
WGK 3
flash_point_f
Not applicable
flash_point_c
Not applicable
適用法令
試験研究用途を考慮した関連法令を主に挙げております。化学物質以外については、一部の情報のみ提供しています。 製品を安全かつ合法的に使用することは、使用者の義務です。最新情報により修正される場合があります。WEBの反映には時間を要することがあるため、適宜SDSをご参照ください。
G8168-10ML-PW: + G8168-10ML: + G8168-50ML: + G8168-VAR: + G8168-100ML: + G8168-BULK: + G8168-100ML-PW:
jan
資料
Antibiotic kill curve is a dose response experiment in which mammalian cells are subjected to increasing amounts of selection antibiotic
微生物死滅曲線は、哺乳類細胞に対し選択抗生物質のばく露量を増やしていく用量反応実験です。
Our lentiviral vector systems are developed with enhanced safety features. Numerous precautions are in place in the design of our lentiviruses to prevent replication. Good handling practices are a must.
You are not alone designing successful CRISPR, RNAi, and ORF experiments. Sigma-Aldrich was the first company to commercially offer lentivirus versions of targeted genome modification technologies and has the expertise and commitment to support new generations of scientists.
プロトコル
Lentivirus versions of genome modification technologies support successful CRISPR, RNAi, and ORF experiments.
FACS sorts cells based on light scattering and fluorescence for objective cell analysis.
関連コンテンツ
Product Information Sheet
ライフサイエンス、有機合成、材料科学、クロマトグラフィー、分析など、あらゆる分野の研究に経験のあるメンバーがおります。.
製品に関するお問い合わせはこちら(テクニカルサービス)