有機および有機-無機ハイブリッドポリマーの分子層堆積
Steven M. George<sup>1,2</sup>, Byunghoon Yoon<sup>1</sup>
Material Matters 2008, Vol.3 No.2
はじめに
原子層堆積(ALD:atomic layer deposition)手法は最近10年で出現し、半導体デバイスの微細化、多孔質構造体への同形コーティング、ナノ粒子のコーティングなど、さまざまなニーズを満たしてきました。ALDは、2段階の、逐次の自己限定的表面反応に基づいています1,2。表面化学反応は自己限定的であるため、ALDは高アスペクト比の構造体に非常に相似的な極薄膜を堆積できます3。ALD成長の制御は反応サイクルあたり約1Åで、得られるALD膜は連続的でピンホールがありません4。
ALDプロセスは、広範な無機材料について開発されてきました。ALDの反応順序は二成分の性質を持っているため、ほとんどのALD材料は、Al2O3やTiNなどの二成分化合物です。例えば、Al2O3のALDは通常、Al(CH3)3(TMA)とH2Oを2つの反応物として実施されます5,6。TiNのALDは、TiCl4とNH3を2つの反応物として実施されます7。最も一般的なALD材料は、金属酸化物と金属窒化物です。いくつかのレビューで、ALD手法を使用して堆積させた多くの無機材料に関して詳述しています8,9。
分子層堆積(MLD:molecular layer deposition)はALDと密接な関係があります10,11。MLDもまた、逐次の自己限定的表面反応に基づいています。しかし、図1の模式図に示すとおり、MLD反応中は「分子」の断片が堆積されます10。この分子の断片は有機質ですが、無機成分を含むことが可能です。純粋な有機ポリマーMLD膜の堆積は、段階的な縮合反応を用いて実現できます。有機ポリマーMLD膜の成長は、日本のいくつかのグループによって最初に実証されました11–15。有機-無機ハイブリッド膜は、有機反応物と無機反応物を混合するだけで堆積可能です。

図1逐次の自己限定的表面反応に基づく分子層堆積(MLD)法の模式図
有機ポリマーの分子層堆積
有機ポリマーのMLDに関する初期の実験は、ポリイミド11とポリアミド14に集中していました。このような初期のMLDの実験は、交互蒸着重合としても知られています14。基本的な方法は、X-A-X、Y-B-Yなどの2つの化学的官能基を備えたホモ二官能性反応物を使用することです。ここで、「X」と「Y」は化学的な官能基、「A」と「B」は有機物の断片です。2つのホモ二官能性反応物を使用した2段階のABサイクルは次のとおりです。
(A)SBY* + XAX → SB–AX* + XY・・・・・・・(1)
(B)SAX* + YBY → SA–BY* + XY・・・・・・・(2)
ここで、アスタリスクは表面の化学種を示します。下位層の基板と堆積された膜は「S」で表しています。Aの反応では、X官能基がSBY*化学種と反応してSB-AX*化学種が堆積します。Bの反応では、Y官能基がSAX*化学種と反応して、SA-BY*化学種が堆積します。
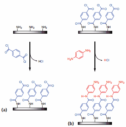
最近の研究で、ナイロン66 10とポリ(p-フェニレンテレフタルアミド)(PPTA)16の2つのポリアミドを用いたMLDの実験が行われました。ナイロン66のMLDの反応物は、アジポイルクロリド(ClOC-(CH2)4-COCl)と1,6-ヘキサンジアミン(H2N-(CH2)6-NH2)です10。PPTAのMLDの反応物は、塩化テレフタロイル(TC)とp-フェニレンジアミン(PD)です16。どちらの場合も、酸塩化物とアミン官能基が反応してアミド結合が形成されます。ナイロン66のMLDではACとHDを、PPTAのMLDではTCとPDを順次曝露させて、これらのポリアミド膜を堆積させました10,16。PPTAのMLD中の表面化学反応の模式図を図2に示します16。

図2ポリ(p-フェニレンテレフタルアミド)のMLDの表面化学反応模式図。(a)は塩化テレフタロイル、(b)はp-フェニレンジアミンを、それぞれホモ二官能性反応物として使用。
ポリマーのMLDにホモ二官能性反応物を使用する場合の問題の1つは、ホモ二官能性反応物が表面上の2つの化学基と2回反応する可能性があることです16。このような「2重」の反応によって、2つの表面化学基がその後の反応から除去されます。多数の2重反応後、表面と反応可能な反応物の数は大幅に減少します。したがって、有機ポリマーMLDの今後の方法には、ヘテロ二官能性反応物を使用するか、官能基がマスクまたは保護された反応物を使用することが考えられます16。
ハイブリッドおよび有機-無機ポリマーへの拡張
無機反応物と有機反応物を共に用いることにより、有機-無機ハイブリッドポリマーのMLDを実現できます17。この拡張は、典型的なALDに使用される反応物の1つと有機ポリマーのMLDプロセスに使用される反応物の1つとを組み合わせて実現されます。例えば、Al(CH3)3、トリメチルアルミニウム(TMA)は、Al2O3のALDに使用する非常に一般的な反応物です5,6。TMAは、酸素を含む化学種と容易に反応します。エチレングリコール(HO-(CH2)2-OH、EG)などのジオールは、段階的なMLDプロセスでポリエステルを堆積させるためにカルボン酸や酸塩化物と共に使用できるホモ二官能性反応物です。TMAとEGを逐次的な段階的プロセスで共に使用すると、アルコーン(alucone)として知られる無機-有機ハイブリッドポリマーを堆積できます18。
TMAなどの金属アルキルとEGなどのジオールの間で、新しい一連の反応が可能です。金属アルキルとジオールの間の一般的な2段階MLD反応は、次のように記述できます17。
(A)SMR* + HOR’OH → SM-OR’OH* + RH・・・・・・・(3)
(B)SR’OH* + MRx → SR’O-MRx–1* + RH・・・・・・・(4)
Aの反応では、全てのSMR*化学種が完全に反応し、SM-OR’OH*化学種が生成すると反応が停止します。Bの反応では、全てのSR’OH*化学種が完全に反応し、SR’O-MRx-1*化学種が生成すると反応が停止します。MLD中のTMAとEGの逐次反応によって、(Al-O-CH2-CH2-O-)nで記述される高分子膜が得られます。この新しいポリマーはアルコーン(alucone)18で、ポリ(アルミニウムエチレングリコール)と呼ぶことができます17。ポリ(アルミニウムエチレングリコール)の成長を表す模式図を図3に示します17。

図3ポリ(アルミニウムエチレングリコール)のMLDの表面化学反応を表す模式図。(a)は、ホモ二官能性反応物としてトリメチルアルミニウムを使用した場合、(b)は、ホモ二官能性反応物としてエチレングリコールを使用した場合をそれぞれ示す。
以前の研究で、TMAとEGを使用したアルコーンのMLDは非常に難しいことが分かっています17。ex situ X線反射率(XRR:x-ray reflectivity)の解析から、MLDの成長速度は温度に依存することが明らかになりました17。アルコーンのMLD成長速度は、85℃でTMA/EGの1サイクルあたり4.0Åから、175℃でTMA/EGの1サイクルあたり0.4Åに減少しました。図4は、アルコーンのMLDがTMA/EGのサイクル数に対し非常に直線的であることを示しています17。XRR解析により、これらのアルコーン膜の密度は、堆積温度とは独立に約1.5 g/cm3で一定であることも見出されました。ハイブリッド有機-無機アルコーンのMLD膜で測定されたこの密度17は、177℃で成長させたAl2O3 ALD膜の密度約3.0 g/cm3よりはるかに低い値です19。

図4X線反射率を測定して得られた、さまざまな成長温度でのポリ(アルミニウムエチレングリコール)MLD膜の厚みとトリメチルアルミニウムおよびエチレングリコールのサイクル数の関係。
その他多くの有機金属前駆体を使用して、ハイブリッド有機-無機MLDポリマーを規定できます。例えば、Zn(CH2CH3)2(ジエチル亜鉛、DEZ:diethylzinc)などのアルキル亜鉛は、同様のMLDプロセスでEGなどのジオールと反応できます20。酸素と容易に反応できるその他のさまざまなアルキル金属も、ハイブリッド有機-無機ポリマーMLDになり得る候補です。例えば、マグネシウム(Mg)およびマンガン(Mn)ベースのアルキル金属は酸素と容易に反応しますが、ジオールと反応する可能性のある候補です。MgおよびMnのアルキル金属は、Mg(Cp)2およびMn(Cp)2として入手できます。ここでCpは、シクロペンタジエニル配位子です。他に可能性のあるアルキル金属は、フェロセン、Fe(Cp)2、ニッケロセン、Ni(Cp)2、およびコバルトセン、Co(Cp)2です。周期表の全ての金属を考えると、可能性はほぼ無限です。
ジオールを用いた反応によって、金属酸化物と有機成分で構成されたハイブリッド有機-無機MLD膜が生成されます。その他のホモ二官能性有機反応物も考えられるため、これらの反応の一般性はさらに拡大されると考えられます。例えば、ホモ二官能性有機反応物は、ジアミンまたはジチオールでも構いません。ジアミンおよびジチオールなら、ハイブリッド有機-無機MLD膜は金属窒化物または金属硫化物と有機成分で構成されるでしょう。
その他の有機および有機-無機ポリマーの今後の展望
MLD反応での「2重」反応を避けるためにヘテロ二官能性反応物を利用できます16。これらの反応物は、異なる2つの化学的官能基を有します。化学的官能基のうち1つは、表面化学種と反応可能ですが、2つめは表面化学種と反応できません。ヘテロ二官能性反応物は、単官能的にのみ反応し、2重反応とポリマー鎖の末端を避けることができます。
ヘテロ二官能性反応物を用いた最も単純な2段階のABサイクルは、次のとおりです。
(A)SBZ* + WAX → SB–AX* + ZW・・・・・・・(5)
(B)SAX* + YBZ → SA–BZ* + XY・・・・・・・(6)
Aの反応では、W官能基(X官能基ではなく)がSBZ*化学種と反応し、SB-AX*化学種が堆積します。Bの反応では、Y官能基(Z官能基ではなく)がSAX*化学種と反応し、SA-BZ*化学種が堆積します。同一分子に対し2つの異なる化学反応性を示すヘテロ二官能性反応物には、さまざまな例があります。考えられる化学的官能基は、アミン、アルキル、ヒドロキシル、イソシアナート、エポキシ、コハク酸イミドエステル、マレイミド、およびチオールです。
ヘテロ二官能性反応物のほか、反応物も、反応時にのみ現れる隠れた官能性を包含することで、2重反応を回避可能です。反応して新しいヒドロキシル(-OH)、アミン(-NH2)、またはカルボン酸(-COOH)を生じるさまざまな開環反応があります。例えば、エポキシ環は表面アミンと反応でき、ヒドロキシル基を生じます。2,2-ジメトキシ-1,6-ジアザ-2-シラシクロオクタンなどの環状アザシランは、表面ヒドロキシルと反応できアミン基を生じます16。炭酸エチレンなどの環状炭酸エステルは、表面アミンと反応できヒドロキシル基を生じます16。開環またはヘテロ二官能性反応物が関係するさまざまな反応の例を図5に示します。

図5開環またはヘテロ二官能性反応物が関係するさまざまな反応の例

図63段階ABC反応の表面化学反応の模式図。(a)は、ホモ三官能性反応物としてトリメチルアルミニウム、(b)は、ヘテロ二官能性反応物としてエタノールアミン、(c)は、開環反応物として無水マレイン酸がそれぞれ関係しています。
この3段階ABC反応順序によって2重反応の可能性が避けられ、非常に強固で直線的なMLDの成長につながります。最近の研究によって、このABCアルコーンMLD膜は90~150℃の温度で成長し、ABC反応サイクルあたり23~8ÅのMLD成長速度が得られることが示されました21。ヘテロ二官能性反応物、開環反応物、および官能基がマスクまたは保護された反応物を用いた、その他有り得る3段階ABC反応順序は、有機およびハイブリッド有機-無機MLD膜のMLDに対する広範な可能性を提供します。従来のALDプロセスとともに、これらの新しい組み合わせによって、高精度の厚み制御によって相似的に堆積させることができる薄膜材料の範囲が大幅に拡大します。
謝辞
この研究は、米国国立科学財団の契約番号CHE-0715552による資金提供を受けました。追加的な支援が、米国空軍科学研究局から提供されました。また、筆者らのMLDに関する理解へのこれまでの貢献に対して、Arrelaine A. Dameron博士、Dragos Seghete氏、Nicole M. Adamczyk氏、およびYijun Du博士に感謝します。
関連製品
続きを確認するには、ログインするか、新規登録が必要です。
アカウントをお持ちではありませんか?