Skip to Content
Merck

1.01656

Benzonase® purity grade II (>90%) for biotechnology

Synonym(s):

Endonuclease from Serratia marcescens

Sign In to View Organizational & Contract Pricing

Select a Size


About This Item

CAS Number:
EC Number:
MDL number:
UNSPSC Code:
12352202
Technical Service
Need help? Our team of experienced scientists is here for you.
Let Us Assist
Technical Service
Need help? Our team of experienced scientists is here for you.
Let Us Assist

biological source

Serratia marcescens

Quality Level

recombinant

expressed in E. coli

sterility

non-sterile

Assay

≥90% (SDS-PAGE)

form

buffered aqueous glycerol solution

specific activity

≥250 units, pH 8.0, 37 °C

concentration

≥250 units/μL

impurities

≤10 CFU in 100 000 U Colony count (Yeasts and moulds)
≤10 CFU in 100 000 U Colony count (aerobic bacteria)
not detectable Proteases

color

clear
colorless

pH

8 (25 °C in H2O)

application(s)

pharma/biopharma processes

foreign activity

foreign activity ≥1.0 x 10^6 units (calc. on protein)

shipped in

dry ice

storage temp.

−20°C

Looking for similar products? Visit Product Comparison Guide

General description

Our comprehensive portfolio of downstream process chemicals not only provides biopharmaceutical manufacturers with high-quality raw materials for production of classical and novel therapies, but also helps them get to market faster and simplify regulatory challenges. Ranging from non-GMP grades for low-risk application, to IPEC-PQG GMP for higher-risk applications, we have products covering all your manufacturing needs.
We offer a range of high quality critical raw materials plus the documentation and expertise to help our customers meet stringent regulatory requirements. Our SAFC® portfolio of high-quality products withstands strict quality control procedures.

Application

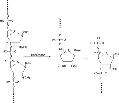
Benzonase® purity grade II (>90%) for biotechnology is the technical grade in our Benzonase® product portfolio. All Benzonase® endonuclease products share the same amino acid sequence (proven by LC-MS/MS mass spectrometry), robustness and activity. The technical grade can be used to optimize the production / testing process before using one of our GMP grade during verification and manufacturing process.
Used for the removal of nucleic acid from protein samples.

Biochem/physiol Actions

Digests native or heat-denatured DNA and RNA.

Packaging

500,000 Units5,000,000 Units

Legal Information

Benzonase is a registered trademark of Merck KGaA, Darmstadt, Germany
SAFC is a registered trademark of Merck KGaA, Darmstadt, Germany

Storage Class Code

10 - Combustible liquids

WGK

WGK 1


Certificates of Analysis (COA)

Search for Certificates of Analysis (COA) by entering the products Lot/Batch Number. Lot and Batch Numbers can be found on a product’s label following the words ‘Lot’ or ‘Batch’.

Already Own This Product?

Find documentation for the products that you have recently purchased in the Document Library.

Visit the Document Library

Articles

Benzonase®endonuclease efficiently removes nucleic acid contaminants from viral production, crucial for cell and gene therapies and vaccines.

Global Trade Item Number

SKUGTIN
1.01656.000104022536509631

Our team of scientists has experience in all areas of research including Life Science, Material Science, Chemical Synthesis, Chromatography, Analytical and many others.

Contact Technical Service