Skip to Content
Merck

1.08418

Supelco

Titriplex® III

for analysis (EDTA disodium salt), ACS reagent, ISO, reag. Ph. Eur.

Synonym(s):

Ethylenediaminetetraacetic acid disodium salt dihydrate, Disodium dihydrogen ethylenediaminetetraacetate, Ethylenediaminetetraacetic acid disodium salt, Disodium ethylenediaminetetraacetate dihydrate, EDTA disodium salt, EDTA-Na2, Edathamil, Edetate disodium salt dihydrate, Sequestrene Na2

Sign Into View Organizational & Contract Pricing

Select a Size


About This Item

Empirical Formula (Hill Notation):
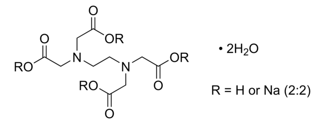
C10H14N2Na2O8 · 2H2O
CAS Number:
Molecular Weight:
372.24
Beilstein:
3900609
UNSPSC Code:
12352107
EC Index Number:
205-358-3
NACRES:
NA.21
Technical Service
Need help? Our team of experienced scientists is here for you.
Let Us Assist
Technical Service
Need help? Our team of experienced scientists is here for you.
Let Us Assist


Product Name

Titriplex® III, for analysis, ACS reagent, ISO, reag. Ph. Eur.

grade

ACS reagent

Quality Level

Agency

ISO
reag. Ph. Eur.

product line

Titripur®

form

solid

potency

>2000 mg/kg LD50, oral (Rat)

reaction suitability

reaction type: Complexometric reactions

technique(s)

titration: suitable

pH

4-5 (20 °C, 50 g/L in H2O)

mp

248 °C (dec.) (lit.)

bulk density

700 kg/m3

storage temp.

15-25°C

SMILES string

O.O.O.O.[Na+].[Na+].[Na+].[Na+].OC(=O)CN(CCN(CC([O-])=O)CC([O-])=O)CC(O)=O.OC(=O)CN(CCN(CC(O)=O)CC([O-])=O)CC([O-])=O

InChI

1S/C10H16N2O8.2Na.2H2O/c13-7(14)3-11(4-8(15)16)1-2-12(5-9(17)18)6-10(19)20;;;;/h1-6H2,(H,13,14)(H,15,16)(H,17,18)(H,19,20);;;2*1H2/q;2*+1;;/p-2

InChI key

OVBJJZOQPCKUOR-UHFFFAOYSA-L

Looking for similar products? Visit Product Comparison Guide

Application

Chelator of divalent cations. Inhibits enzymes, such as metalloproteases, that require divalent cations for activity.

Other Notes

Elimination of water of crystallization: 110 °C
Replaces: EX0539; EX0539-3; EX0539-1; EX0539-5

Legal Information

Titriplex is a registered trademark of Merck KGaA, Darmstadt, Germany
Titripur is a registered trademark of Merck KGaA, Darmstadt, Germany

Pictograms

Health hazardExclamation mark

Signal Word

Warning

Hazard Statements

Hazard Classifications

Acute Tox. 4 Inhalation - STOT RE 2 Inhalation

Target Organs

Respiratory Tract

Storage Class Code

11 - Combustible Solids

WGK

WGK 2

Flash Point(F)

Not applicable

Flash Point(C)

Not applicable



Certificates of Analysis (COA)

Search for Certificates of Analysis (COA) by entering the products Lot/Batch Number. Lot and Batch Numbers can be found on a product’s label following the words ‘Lot’ or ‘Batch’.

Already Own This Product?

Find documentation for the products that you have recently purchased in the Document Library.

Visit the Document Library


Protocols

Preparation of a standard solution for Sulfite

Method: Photometric determination with 2,2'-dinitro-5,5'-dithiodibenzoic acid (Ellman's reagent)




Global Trade Item Number

SKUGTIN
1.08418.500004022536104324
1.08418.010004022536104263
1.08418.025004022536104287
1.08418.100004022536104300
1.08418.902504022536104331