Skip to Content
Merck

1.37004

SAFC

Titriplex® III

(ethylene dinitrilo tetraacetic acid disodium salt dihydrate), EMPROVE® EXPERT, Ph. Eur., BP, ChP, JP, USP

Synonym(s):

Ethylenediaminetetraacetic acid disodium salt dihydrate, Disodium dihydrogen ethylenediaminetetraacetate, Ethylenediaminetetraacetic acid disodium salt, Disodium ethylenediaminetetraacetate dihydrate, EDTA disodium salt, EDTA-Na2, Edathamil, Edetate disodium salt dihydrate, Sequestrene Na2

Sign Into View Organizational & Contract Pricing

Select a Size


About This Item

Empirical Formula (Hill Notation):
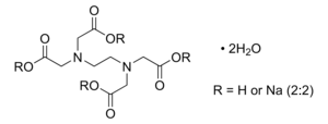
C10H14N2Na2O8 · 2H2O
CAS Number:
Molecular Weight:
372.24
Beilstein:
3900609
UNSPSC Code:
12352107
EC Index Number:
205-358-3
Technical Service
Need help? Our team of experienced scientists is here for you.
Let Us Assist
Technical Service
Need help? Our team of experienced scientists is here for you.
Let Us Assist


grade

ACS reagent

Quality Level

Agency

BP
ChP
JP
Ph. Eur.
USP

product line

EMPROVE® EXPERT

form

solid

feature

RNase and DNase free

pH

4-5 (20 °C, 50 g/L in H2O)

mp

248 °C (dec.) (lit.)

application(s)

liquid formulation
parenterals
pharma/biopharma processes
pharmaceutical

storage temp.

no temp limit

SMILES string

O.O.O.O.[Na+].[Na+].[Na+].[Na+].OC(=O)CN(CCN(CC([O-])=O)CC([O-])=O)CC(O)=O.OC(=O)CN(CCN(CC(O)=O)CC([O-])=O)CC([O-])=O

InChI

1S/C10H16N2O8.2Na.2H2O/c13-7(14)3-11(4-8(15)16)1-2-12(5-9(17)18)6-10(19)20;;;;/h1-6H2,(H,13,14)(H,15,16)(H,17,18)(H,19,20);;;2*1H2/q;2*+1;;/p-2

InChI key

OVBJJZOQPCKUOR-UHFFFAOYSA-L

Looking for similar products? Visit Product Comparison Guide

General description

Finding the right excipient that matches your needs as well as regulatory demands can be a complicated challenge in formulation. With our application know-how and regulatory expertise, we support you in every step of development, scale-up, and production.
As part of our Emprove® Program, our raw materials are offered with extensive documentation facilitating compliance of your pharma and biopharma product, full supply chain transparency and risk mitigation. Our SAFC® portfolio of high-quality products for biopharmaceutical and pharmaceutical formulation and production withstands strict quality control procedures and is produced according to applicable cGMP guidelines.

Application

Chelator of divalent cations. Inhibits enzymes, such as metalloproteases, that require divalent cations for activity.
Titriplex® III (EDTA, ethylene dinitrilo tetraacetic acid disodium salt dihydrate) is a commonly used chelating agent. As it is capable of forming complexes with divalent metal cations, it can inhibit diverse enzymes that require such cations for activity. It is broadly used as antioxidant in pharmaceutical formulations and cosmetics and can enhance the function of preservatives. The disodium salt provides improved solubility in water compared to standard EDTA.
Due to its low microbial and endotoxin limits, Titriplex® III (ethylene dinitrilo tetraacetic acid disodium salt dihydrate) Emprove® Expert is especially suitable for high-risk applications.

Other Notes

Elimination of water of crystallization: 110 °C

Legal Information

Emprove is a registered trademark of Merck KGaA, Darmstadt, Germany
SAFC is a registered trademark of Merck KGaA, Darmstadt, Germany
Titriplex is a registered trademark of Merck KGaA, Darmstadt, Germany

Pictograms

Health hazardExclamation mark

Signal Word

Warning

Hazard Statements

Hazard Classifications

Acute Tox. 4 Inhalation - STOT RE 2 Inhalation

Target Organs

Respiratory Tract

Storage Class Code

11 - Combustible Solids

WGK

WGK 2

Flash Point(F)

Not applicable

Flash Point(C)

Not applicable



Certificates of Analysis (COA)

Search for Certificates of Analysis (COA) by entering the products Lot/Batch Number. Lot and Batch Numbers can be found on a product’s label following the words ‘Lot’ or ‘Batch’.

Already Own This Product?

Find documentation for the products that you have recently purchased in the Document Library.

Visit the Document Library



Global Trade Item Number

SKUGTIN
1.37004.901204027269077464
1.37004.902504027269071615
1.37004.100004027269071608