Sign In to View Organizational & Contract Pricing.
Select a Size
About This Item
Linear Formula:
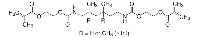
R'CH2[C(CH3)(R)CH2]2CH2R', R=H or CH3, R'=NHCO2CH2CH2O2CC(CH3)=CH2
CAS Number:
Molecular Weight:
470.56
MDL number:
UNSPSC Code:
12162002
PubChem Substance ID:
EC Number:
276-957-5
NACRES:
NA.23
InChI
1S/C23H38N2O8/c1-16(2)19(26)30-10-12-32-21(28)24-9-8-18(5)14-23(6,7)15-25-22(29)33-13-11-31-20(27)17(3)4/h18H,1,3,8-15H2,2,4-7H3,(H,24,28)(H,25,29)
InChI key
UEKHZPDUBLCUHN-UHFFFAOYSA-N
SMILES string
CC(CCNC(=O)OCCOC(=O)C(C)=C)CC(C)(C)CNC(=O)OCCOC(=O)C(C)=C
assay
≥97%
form
liquid
contains
225 ppm±25 ppm BHT as inhibitor
refractive index
n20/D 1.485 (lit.)
bp
200 °C (lit.)
density
1.11 g/mL at 25 °C (lit.)
storage temp.
2-8°C
Quality Level
Related Categories
General description
Diurethane dimethacrylate (DUDA) is a mixture of isomers that belongs to the class of methacrylate monomers. It is a bifunctional monomer, which contains two methacrylate groups and two urethane linkages. It is commonly used in the field of polymer chemistry as a crosslinking agent or a reactive diluent in adhesive materials, coatings, and composites. It has good mechanical and adhesive properties, which makes it suitable for various polymer applications.
Application
Diurethane dimethacrylate can be used as:
- A monomer in the synthesis of the shape memory polymer that is used as the matrix material for the preparation of high-strength and stiffness composites. These composites show excellent shape memory behavior and mechanical strength, making them suitable for bone fixation devices.
- A crosslinking agent to prepare the denture biomaterials, which contain antifungal drugs incorporated into the polymer matrix for controlling drug delivery.
- A crosslinking agent in the synthesis of anion exchange membranes (AEMs) for use in electrochemical devices.
signalword
Warning
hcodes
Storage Class
10 - Combustible liquids
flash_point_f
>212.0 °F
flash_point_c
> 100 °C
ppe
Eyeshields, Gloves
Hazard Classifications
Aquatic Chronic 3 - Skin Sens. 1B
Choose from one of the most recent versions:
Already Own This Product?
Find documentation for the products that you have recently purchased in the Document Library.
Gaute Floer Johnsen et al.
Journal of dentistry, 56, 84-98 (2016-11-12)
This study aims at evaluating and comparing mechanical, chemical, and cytotoxicological parameters of a commercial brand name composite material against two 'own brand label' (OBL) composites. Parameters included depth of cure, flexural strength, degree of conversion, polymerization shrinkage, filler particle
Saeed Hesaraki et al.
Materials science & engineering. C, Materials for biological applications, 109, 110592-110592 (2020-04-02)
Resin-based pit-and-fissure sealants (flowable resin composites) were formulated using bisphenol-A-glycerolatedimethacrylate (Bis-GMA)-triethylene glycol dimethacrylate-(TEGDMA)-diurethanedimethacrylate (UDMA) mixed monomers and multiple fillers, including synthetic strontium fluoride (SrF2) nanoparticles as a fluoride-releasing and antibacterial agent, yttria-stabilized zirconia (YSZ) nanoparticles as an auxiliary filler, and
Our team of scientists has experience in all areas of research including Life Science, Material Science, Chemical Synthesis, Chromatography, Analytical and many others.
Contact Technical Service