Select a Size
About This Item
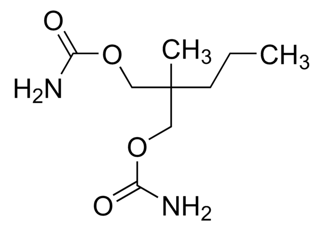
InChI key
NPPQSCRMBWNHMW-UHFFFAOYSA-N
InChI
1S/C9H18N2O4/c1-3-4-9(2,5-14-7(10)12)6-15-8(11)13/h3-6H2,1-2H3,(H2,10,12)(H2,11,13)
SMILES string
CCCC(C)(COC(N)=O)COC(N)=O
grade
certified reference material
form
liquid
feature
Snap-N-Spike®/Snap-N-Shoot®
packaging
ampule of 1 mL
manufacturer/tradename
Cerilliant®
drug control
Narcotic Licence Schedule B (Switzerland); psicótropo (Spain); Decreto Lei 15/93: Tabela IV (Portugal); Pszichotróp anyag / Psychotropic Substance (Hungary), 78/2022. (XII. 28.) BM rendelet, kontrollierte Droge in Deutschland
Quality Level
Gene Information
concentration
1.0 mg/mL in methanol
technique(s)
gas chromatography (GC): suitable, liquid chromatography (LC): suitable
application(s)
clinical testing
format
single component solution
storage temp.
2-8°C
General description
Legal Information
Dieses Produkt fällt unter das Betäubungsmittelgesetz (BtMG). Für eine Bestellung dieses Produktes ist eine Erlaubnis nach § 3 BtMG zwingend erforderlich, es sei denn, es greift eine Ausnahme von der Erlaubnispflicht nach § 4 oder § 26 BtMG.
English
This product is subject to the German Narcotics Act. A permit under Section 3 of the German Narcotics Act is mandatory for ordering this product unless an exemption from the permit requirement under Section 4 or Section 26 of the German Narcotics Act applies.
signalword
Danger
Hazard Classifications
Acute Tox. 3 Dermal - Acute Tox. 3 Inhalation - Acute Tox. 3 Oral - Flam. Liq. 2 - STOT SE 1
target_organs
Eyes
Storage Class
3 - Flammable liquids
wgk
WGK 2
flash_point_f
49.5 °F - closed cup
flash_point_c
9.7 °C - closed cup
Regulatory Listings
Regulatory Listings are mainly provided for chemical products. Only limited information can be provided here for non-chemical products. No entry means none of the components are listed. It is the user’s obligation to ensure the safe and legal use of the product.
67-56-1
Certificates of Analysis (COA)
Search for Certificates of Analysis (COA) by entering the products Lot/Batch Number. Lot and Batch Numbers can be found on a product’s label following the words ‘Lot’ or ‘Batch’.
Already Own This Product?
Find documentation for the products that you have recently purchased in the Document Library.
Our team of scientists has experience in all areas of research including Life Science, Material Science, Chemical Synthesis, Chromatography, Analytical and many others.
Contact Technical Service

