Product Name
Apyrase from potato, recombinant, expressed in Pichia pastoris, ATPase ≥1000 units/mg protein, lyophilized powder
recombinant
expressed in Pichia pastoris
form
lyophilized powder
ATPase activity
≥1000 units/mg protein
shipped in
wet ice
storage temp.
−20°C
Quality Level
Biochem/physiol Actions
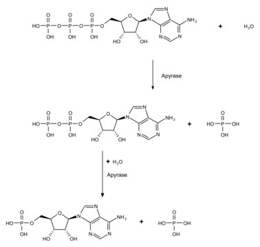
Apyrase hydrolyses the phosphoanhydride bonds of nucleoside tri- and di-phosphates in the presence of divalent cations. It has wide substrate specificity for nucleotides. This property of the enzyme makes it suitable for different biotechnical applications, including DNA sequencing and platelet-aggregation inhibition.
General description
Apyrase, also known as ATP-diphosphohydrolase, is expressed in wide variety of plant and animal tissues. The commercially accessible apyrase enzyme is isolated from potato tubers.
signalword
Danger
hcodes
pcodes
Hazard Classifications
Resp. Sens. 1
Storage Class
11 - Combustible Solids
wgk
WGK 3
flash_point_f
Not applicable
flash_point_c
Not applicable
Choose from one of the most recent versions:
Already Own This Product?
Find documentation for the products that you have recently purchased in the Document Library.
Xuan Zhang et al.
Chemical communications (Cambridge, England), 55(98), 14765-14768 (2019-11-23)
BCL-XL, an anti-apoptotic BCL-2 family protein, plays a key role in cancer cell survival. However, the potential of BCL-XL as an anti-cancer target has been hampered by the on-target platelet toxicity because platelets depend on BCL-XL to maintain their viability.
Subin Mao et al.
Lab on a chip, 21(16), 3128-3136 (2021-06-29)
Integrins are key players in platelet adhesion and aggregation. Integrin molecular tensions, the forces transmitted by integrin molecules, are regulated by both mechanical and biochemical cues, and the outside-in and inside-out signaling has been extensively studied. While the mechanical properties
Cloning, sequencing, and expression of a human brain ecto-apyrase related to both the ecto-ATPases and CD39 ecto-apyrases1.
Smith T M & Kirley T L
Biochimica et Biophysica Acta, 1386(1), 65-78 (1998)
Methylotrophic yeast Pichia pastoris as a host for production of ATP-diphosphohydrolase (apyrase) from potato tubers (Solanum tuberosum).
Nourizad N, et al.
Protein Expression and Purification, 27(2), 229-237 (2003)
Yonghan He et al.
Journal of hematology & oncology, 13(1), 95-95 (2020-07-18)
Patients with advanced T cell lymphomas (TCLs) have limited therapeutic options and poor outcomes in part because their TCLs evade apoptosis through upregulation of anti-apoptotic Bcl-2 proteins. Subsets of TCL cell lines, patient-derived xenografts (PDXs), and primary patient samples depend
Related Content
Our team of scientists has experience in all areas of research including Life Science, Material Science, Chemical Synthesis, Chromatography, Analytical and many others.
Contact Technical Service