Select a Size
About This Item
Product Name
Dexamethasone-Water Soluble, BioReagent, suitable for cell culture
InChI
1S/C42H70O35.C22H30O4/c43-1-8-29-15(50)22(57)36(64-8)72-30-9(2-44)66-38(24(59)17(30)52)74-32-11(4-46)68-40(26(61)19(32)54)76-34-13(6-48)70-42(28(63)21(34)56)77-35-14(7-49)69-41(27(62)20(35)55)75-33-12(5-47)67-39(25(60)18(33)53)73-31-10(3-45)65-37(71-29)23(58)16(31)51;1-12-8-16-15-5-4-13-9-14(24)6-7-21(13,2)20(15)17(25)10-22(16,3)19(12)18(26)11-23/h8-63H,1-7H2;6-7,9,12,15-17,19-20,23,25H,4-5,8,10-11H2,1-3H3/t8-,9-,10-,11-,12-,13-,14-,15-,16-,17-,18-,19-,20-,21-,22-,23-,24-,25-,26-,27-,28-,29-,30-,31-,32-,33-,34-,35-,36-,37-,38-,39-,40-,41-,42-;12-,15+,16?,17+,19-,20-,21+,22+/m11/s1
InChI key
XEJNDGTUKUMQNG-ARJMFYCQSA-N
SMILES string
C[C@@H]1CC2C3CCC4=CC(=O)C=C[C@]4(C)C3[C@@H](O)C[C@]2(C)[C@H]1C(=O)CO.OC[C@H]5O[C@@H]6O[C@H]7[C@H](O)[C@@H](O)[C@H](O[C@@H]7CO)O[C@H]8[C@H](O)[C@@H](O)[C@H](O[C@@H]8CO)O[C@H]9[C@H](O)[C@@H](O)[C@H](O[C@@H]9CO)O[C@H]%10[C@H](O)[C@@H](O)[C@H](O[C@@H]%10CO)O[C@H]%11[C@H](O)[C@@H](O)[C@H](O[C@@H]%11CO)O[C@H]%12[C@H](O)[C@@H](O)[C@H](O[C@@H]%12CO)O[C@H]5[C@H](O)[C@H]6O
biological source
synthetic (organic)
product line
BioReagent
form
solid
technique(s)
cell culture | mammalian: suitable
solubility
H2O: 25 mg/mL, clear to slightly hazy
shipped in
ambient
storage temp.
room temp
Quality Level
Related Categories
Application
- Dulbecco′s modified Eagle medium based osteogenic and adipogenic medium for human mesenchymal stem cell culture
- erythroid expansion media for the growth of liver, bone marrow and spleen tissues
- medium 199 (M199) for hepatocyte culture
Biochem/physiol Actions
Other Notes
Packaging
signalword
Danger
hcodes
Hazard Classifications
Repr. 1B
Storage Class
6.1C - Combustible acute toxic Cat.3 / toxic compounds or compounds which causing chronic effects
wgk
WGK 3
flash_point_f
Not applicable
flash_point_c
Not applicable
Choose from one of the most recent versions:
Already Own This Product?
Find documentation for the products that you have recently purchased in the Document Library.
What cell lines has Product D4902, Dexamethasone, been tested on?
The cell lines on which this product is tested can vary from lot to lot. Some typically used cell lines are 3T3 fibroblasts, BHK, L929 and CHO.
Are Products D4902 and D2915, sterile?
No. This product is not sterile, but cell culture testing did not find the product to be toxic to cells.
Which document(s) contains shelf-life or expiration date information for a given product?
If available for a given product, the recommended re-test date or the expiration date can be found on the Certificate of Analysis.
How do I get lot-specific information or a Certificate of Analysis?
The lot specific COA document can be found by entering the lot number above under the "Documents" section.
How long is Product D2915, Dexamethasone-Water Soluble, stable in solution?
Dexamethasone solutions are stable for 6 months when aliquoted stored at -20 °C in a non-defrosting freezer and protected from light. However, insufficient information is available to assess the shelf-life of solutions stored at 4°C.
What is the molecular weight of Product D2915, Dexamethasone-Water Soluble?
The molecular weight of dexamethasone alone is 392.5 g/mol. Be sure to take the weight of the carrier into account for any calculations involving molarity of solutions.
How much Product D2915, Dexamethasone-Water Soluble, have I received?
Each vial contains 100mg of Dexamethasone. The milligrams of Dexamethasone per gram (Dexamethasone content) is listed on the Certificate of Analysis, which can be accessed through our Advanced Search Option.This information can be used to determine the conversion factor to make a solution of a given molarity.
Can I use Product D2915, Dexamethasone-Water Soluble, to inject into mice?
We do not perform animal studies with our products, but it can be used in cell culture.
How should I reconstitute Product D2915, Dexamethasone-Water Soluble, for tissue culture use?
The tissue culture grade product is tested in water at a concentration of 25 mg/mL forming a clear to slightly hazy colorless solution.
Do you have references for the use of Product D2915, Dexamethason - Water Soluble?
Here is one reference that describes using Product No. D2915: Chang, C.-J., et al., Coactivator TIF1? Interacts with Transcription Factor C/EBP? and Glucocorticoid Receptor To Induce ?1-Acid Glycoprotein Gene Expression. Mol. Cell. Biol., 18(10), 5880-5887 (1998).
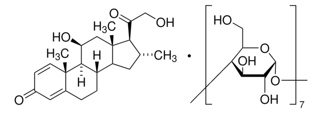
What is (2-Hydroxypropyl)-β-cyclodextrin contained in Product D2915?
(2-Hydroxypropyl)-β-cyclodextrin is commonly used to get lipophilic drugs into aqueous solutions. This guest-host type complex is formed between the drug and the non-polar cavity in the HBC that results in enhanced solubility.
Is the (2-Hydroxypropyl)-β-cyclodextrin contained in Product D2915, Dexammethasone - Water Soluble, toxic to cells?
The carrier, (2-Hydroxypropyl)-β-cyclodextrin, has been found to be non-toxic to mice and rabbits.
How do I find price and availability?
There are several ways to find pricing and availability for our products. Once you log onto our website, you will find the price and availability displayed on the product detail page. You can contact any of our Customer Sales and Service offices to receive a quote. USA customers: 1-800-325-3010 or view local office numbers.
What is the Department of Transportation shipping information for this product?
Transportation information can be found in Section 14 of the product's (M)SDS.To access the shipping information for this material, use the link on the product detail page for the product.
Can Product D2915, Dexamethasone - Water Soluble, be filter sterilized?
This product can be filter sterilized through a 0.22 micron filter prior to use.
My question is not addressed here, how can I contact Technical Service for assistance?
Ask a Scientist here.
Our team of scientists has experience in all areas of research including Life Science, Material Science, Chemical Synthesis, Chromatography, Analytical and many others.
Contact Technical Service