Select a Size
About This Item
Product Name
Kanamycin disulfate salt from Streptomyces kanamyceticus, aminoglycoside antibiotic
InChI
1S/C18H36N4O11.2H2O4S/c19-2-6-10(25)12(27)13(28)18(30-6)33-16-5(21)1-4(20)15(14(16)29)32-17-11(26)8(22)9(24)7(3-23)31-17;2*1-5(2,3)4/h4-18,23-29H,1-3,19-22H2;2*(H2,1,2,3,4)/t4-,5+,6-,7-,8+,9-,10-,11-,12+,13-,14-,15+,16-,17-,18-;;/m1../s1
SMILES string
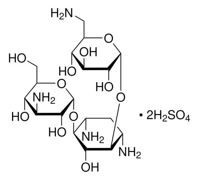
OS(O)(=O)=O.OS(O)(=O)=O.NC[C@H]1O[C@H](O[C@@H]2[C@@H](N)C[C@@H](N)[C@H](O[C@H]3O[C@H](CO)[C@@H](O)[C@H](N)[C@H]3O)[C@H]2O)[C@H](O)[C@@H](O)[C@@H]1O
InChI key
OGTKIXVMLDAMNU-KNQICTBBSA-N
biological source
Streptomyces kanamyceticus
form
powder
potency
~650 μg per mg
impurities
≤4% Kanamycin B
color
white to off-white
solubility
H2O: 10 mg/mL
antibiotic activity spectrum
Gram-negative bacteria
Gram-positive bacteria
mycobacteria
mycoplasma
mode of action
protein synthesis | interferes
Quality Level
Related Categories
Application
Biochem/physiol Actions
Mode of Resistance: Aminoglycoside-modifying enzymes (including acetyltransferase, phosphotransferase, nucleotidyltransferase) can alter this antibiotic, preventing its interaction with ribosomes.
Antimicrobial Spectrum: Kanamycin sulfate is effective against gram-negative and gram-postiive bacteria, and mycoplasma.
Disclaimer
General description
Preparation Note
signalword
Danger
hcodes
Hazard Classifications
Repr. 1B
Storage Class
6.1C - Combustible acute toxic Cat.3 / toxic compounds or compounds which causing chronic effects
wgk
WGK 3
flash_point_f
Not applicable
flash_point_c
Not applicable
ppe
Eyeshields, Gloves, type P3 (EN 143) respirator cartridges
Choose from one of the most recent versions:
Already Own This Product?
Find documentation for the products that you have recently purchased in the Document Library.
Our team of scientists has experience in all areas of research including Life Science, Material Science, Chemical Synthesis, Chromatography, Analytical and many others.
Contact Technical Service