Skip to Content
Merck

P0537

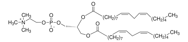
1,2-Dilinoleoyl-sn-glycero-3-phosphocholine

≥99% (TLC), lyophilized powder

Synonym(s):

(7R,18Z,21Z)-4-Hydroxy-N,N,N-trimethyl-10-oxo-7-[[(9Z,12Z)-1-oxo-9,12-octadecadien-1-yl]oxy]-3,5,9-trioxa-4-phosphaheptacosa-18,21-dien-1-aminium 4-oxide, inner salt, 1,2-Di(cis-9,12-octadecadienoyl)-sn-glycero-3-phosphocholine, 1,2-Dilinoleoyl-sn-3-glycerophosphorylcholine, 3-sn-Phosphatidylcholine, 1,2-dilinoleoyl, L-α-Dilinoleoyl phosphatidylcholine, L-Dilinoleoyllecithin, Dilinoleoyl-L-α-phosphatidylcholine, PC(18:2(9Z,12Z)/18:2(9Z,12Z))

Sign In to View Organizational & Contract Pricing.

Select a Size


About This Item

Empirical Formula (Hill Notation):
C44H80NO8P
CAS Number:
Molecular Weight:
782.08
UNSPSC Code:
51191904
NACRES:
NA.25
PubChem Substance ID:
EC Number:
213-647-0
Beilstein/REAXYS Number:
5212188
MDL number:
Technical Service
Need help? Our team of experienced scientists is here for you.
Let Us Assist
Technical Service
Need help? Our team of experienced scientists is here for you.
Let Us Assist

Product Name

1,2-Dilinoleoyl-sn-glycero-3-phosphocholine, ≥99% (TLC), lyophilized powder

InChI key

FVXDQWZBHIXIEJ-LNDKUQBDSA-N

InChI

1S/C44H80NO8P/c1-6-8-10-12-14-16-18-20-22-24-26-28-30-32-34-36-43(46)50-40-42(41-52-54(48,49)51-39-38-45(3,4)5)53-44(47)37-35-33-31-29-27-25-23-21-19-17-15-13-11-9-7-2/h14-17,20-23,42H,6-13,18-19,24-41H2,1-5H3/b16-14-,17-15-,22-20-,23-21-/t42-/m1/s1

SMILES string

[O-]P(OCC[N+](C)(C)C)(OC[C@]([H])(OC(CCCCCCC/C=C\C/C=C\CCCCC)=O)COC(CCCCCCC/C=C\C/C=C\CCCCC)=O)=O

biological source

synthetic (organic)

assay

≥99% (TLC)

form

lyophilized powder

functional group

amine
ester

lipid type

phosphoglycerides

shipped in

ambient

storage temp.

−20°C

Quality Level

Looking for similar products? Visit Product Comparison Guide

Packaging

Packaged under Argon.

Storage Class

11 - Combustible Solids

wgk

WGK 3

flash_point_f

Not applicable

flash_point_c

Not applicable

ppe

Eyeshields, Gloves, type N95 (US)


Choose from one of the most recent versions:

Certificates of Analysis (COA)

Lot/Batch Number

Don't see the Right Version?

If you require a particular version, you can look up a specific certificate by the Lot or Batch number.

Already Own This Product?

Find documentation for the products that you have recently purchased in the Document Library.

Visit the Document Library

Karl-Josef Gundermann et al.
Pharmacological reports : PR, 63(3), 643-659 (2011-08-23)
Essential phospholipids (EPL) contain a highly purified extract of polyenylphosphatidylcholine (PPC) molecules from soybean. The main active ingredient is 1,2-dilinoleoylphosphatidylcholine (DLPC), which differentiates it from other phospholipids, lecithins, or extracts from other sources. Although EPLis widely used in liver diseases
Megan M Koerner et al.
Biophysical journal, 101(2), 362-369 (2011-07-20)
Due to thermal motion and molecular polarizability, electrical interactions in biological systems have a dynamic character. Zwitterions are dipolar molecules that typically are highly polarizable and exhibit both a positive and a negative charge depending on the pH of the
Aniket Magarkar et al.
The journal of physical chemistry. B, 116(14), 4212-4219 (2012-03-17)
PEGylation is an effective mechanism to prolong the bloodstream lifetime, and thus efficacy, of drug delivery liposomes. The mechanism through which poly(ethylene glycol) (PEG) increases bloodstream lifetime is, however, not completely understood. The interaction with salt ions found in the
Lars V Schäfer et al.
Proceedings of the National Academy of Sciences of the United States of America, 108(4), 1343-1348 (2011-01-06)
Cell membranes are comprised of multicomponent lipid and protein mixtures that exhibit a complex partitioning behavior. Regions of structural and compositional heterogeneity play a major role in the sorting and self-assembly of proteins, and their clustering into higher-order oligomers. Here
Chunhua Wang et al.
The journal of physical chemistry. B, 115(1), 196-203 (2010-12-17)
Weak interactions of neurotransmitters and the lipid matrix in the synaptic membrane have been hypothesized to play a role in synaptic transmission of nerve signals, particularly with respect to receptor desensitization (Cantor, R. S. Biochemistry 2003, 42, 11891). The strength

Our team of scientists has experience in all areas of research including Life Science, Material Science, Chemical Synthesis, Chromatography, Analytical and many others.

Contact Technical Service