Skip to Content
Merck

P3397

Phosphoglucomutase from rabbit muscle

ammonium sulfate suspension, ≥100 units/mg protein

Synonym(s):

PGM, α-D-Glucose-1,6-bisphosphatase, α-D-Glucose-1-phosphate phosphotransferase

Sign In to View Organizational & Contract Pricing.

Select a Size


About This Item

CAS Number:
UNSPSC Code:
12352204
NACRES:
NA.54
EC Number:
MDL number:
Specific activity:
≥100 units/mg protein
Biological source:
rabbit muscle
Technical Service
Need help? Our team of experienced scientists is here for you.
Let Us Assist
Technical Service
Need help? Our team of experienced scientists is here for you.
Let Us Assist

biological source

rabbit muscle

description

ammonium sulfate suspension, >=100 units/mg protein

form

ammonium sulfate suspension

specific activity

≥100 units/mg protein

storage condition

(Tightly closed)

technique(s)

activity assay: suitable

color

white to light yellow

foreign activity

lactic dehydrogenase ≤0.5%, phosphoglucose isomerase ≤0.01%, pyruvate kinase ≤0.05%

shipped in

wet ice

storage temp.

2-8°C

Quality Level

Looking for similar products? Visit Product Comparison Guide

General description

Research area: Cell Signaling

Phosphoglucomutase (PGM), a conserved enzyme, is abundantly found in animals, plants, and microorganisms. It is distributed in almost all tissues.

Application

Phosphoglycomutase has been used:

  • to study glycogenesis and phosphoglycomutase deficiency in humans
  • in phosphoglucomutase assays to study metabolic regulation
  • for assay A to assay enzymes closely linked to glycogen metabolism in transformed BL21(DE3)C43 cells
  • in sucrose synthase (SuSy) andADPglucose pyrophosphorylase (AGPase) assays(3)
  • in enzyme activity assay for coupling the reduction of nicotinamide adenine dinucleotide phosphate (NADP+)to determine glucose-1-phosphate from sucrose and inorganic phosphate (Pi)

Biochem/physiol Actions

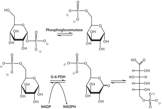
Phosphoglucomutase(PGM) enzyme plays a vital role in glycolysis and gluconeogenesis. It is involved in glycogen and trehalose metabolism in insects. PGM participates in the development of plants and some microorganisms. It is essential for proteins, lipids, and nucleic acid metabolism and is crucial for the development of plants because glucose-6-phosphate is a crucial central metabolite. PGM catalyzes the interconversion of glucose-6-phosphate (G-6-P)and glucose-1-phosphate (G-1-P).

Physical form

Crystalline suspension in 3.2 M (NH4)2SO4, pH 6.0 containing 0.01% EDTA

Analysis Note

Protein determined by biuret.

Other Notes

One unit will convert 1.0 μmole of α-D-glucose 1-phosphate to α-D-glucose 6-phosphate per min at pH 7.4 at 30 °C.

Storage Class

12 - Non Combustible Liquids

wgk

WGK 2

flash_point_f

Not applicable

flash_point_c

Not applicable

ppe

Eyeshields, Gloves, multi-purpose combination respirator cartridge (US)


Regulatory Listings

Regulatory Listings are mainly provided for chemical products. Only limited information can be provided here for non-chemical products. No entry means none of the components are listed. It is the user’s obligation to ensure the safe and legal use of the product.

7783-20-2

CAS No.

Choose from one of the most recent versions:

Certificates of Analysis (COA)

Lot/Batch Number

Don't see the Right Version?

If you require a particular version, you can look up a specific certificate by the Lot or Batch number.

Already Own This Product?

Find documentation for the products that you have recently purchased in the Document Library.

Visit the Document Library

Phosphoglucomutase; mechanism of action.
V JAGANNATHAN et al.
The Journal of biological chemistry, 179(2), 569-575 (1949-06-01)
H Sugie et al.
Neurology, 38(4), 602-605 (1988-04-01)
We report a 5-month-old boy with recurrent vomiting, lethargy, and poor weight gain. He had profound metabolic acidosis and nonketotic dicarboxylic aciduria. The serum and muscle carnitine levels were significantly low (60% and 10% of the control means, respectively), suggesting
Nora Alonso-Casajús et al.
Journal of bacteriology, 188(14), 5266-5272 (2006-07-04)
To understand the biological function of bacterial glycogen phosphorylase (GlgP), we have produced and characterized Escherichia coli cells with null or altered glgP expression. glgP deletion mutants (DeltaglgP) totally lacked glycogen phosphorylase activity, indicating that all the enzymatic activity is
M B Dworkin et al.
The Journal of biological chemistry, 262(35), 17038-17045 (1987-12-15)
When 32P-labeled phosphoenolpyruvate is injected into Xenopus laevis oocytes, a 50-60-kDa protein of subunit size Mr 29,000 is rapidly labeled, followed by a second (monomeric) protein of 66 kDa concomitant with the loss of label from the first protein. We
Sharita Timal et al.
Human molecular genetics, 21(19), 4151-4161 (2012-04-12)
Congenital disorders of glycosylation type I (CDG-I) form a growing group of recessive neurometabolic diseases. Identification of disease genes is compromised by the enormous heterogeneity in clinical symptoms and the large number of potential genes involved. Until now, gene identification

Related Content

Our team of scientists has experience in all areas of research including Life Science, Material Science, Chemical Synthesis, Chromatography, Analytical and many others.

Contact Technical Service