Select a Size
About This Item
Product Name
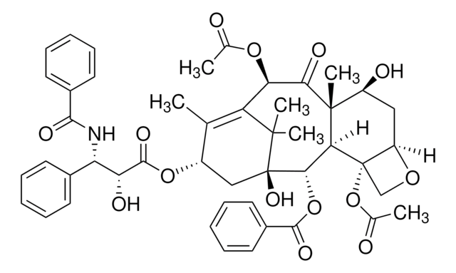
Paclitaxel, from Taxus yannanensis, powder
InChI
1S/C47H51NO14/c1-25-31(60-43(56)36(52)35(28-16-10-7-11-17-28)48-41(54)29-18-12-8-13-19-29)23-47(57)40(61-42(55)30-20-14-9-15-21-30)38-45(6,32(51)22-33-46(38,24-58-33)62-27(3)50)39(53)37(59-26(2)49)34(25)44(47,4)5/h7-21,31-33,35-38,40,51-52,57H,22-24H2,1-6H3,(H,48,54)/t31-,32-,33+,35-,36+,37+,38-,40-,45+,46-,47+/m0/s1
SMILES string
[H][C@@]12C[C@H](O)[C@@]3(C)C(=O)[C@H](OC(C)=O)C4=C(C)[C@H](C[C@@](O)([C@@H](OC(=O)c5ccccc5)[C@]3([H])[C@@]1(CO2)OC(C)=O)C4(C)C)OC(=O)[C@H](O)[C@@H](NC(=O)c6ccccc6)c7ccccc7
InChI key
RCINICONZNJXQF-MZXODVADSA-N
biological source
Taxus yannanensis
form
powder
color
white
mp
213 °C (dec.) (lit.)
solubility
DMSO: 50 mg/mL (can be stored frozen for several months), acetonitrile: soluble, ethanol: soluble, methanol: soluble (undergoes transesterification)
antibiotic activity spectrum
neoplastics
mode of action
DNA synthesis | interferes
originator
Bristol-Myers Squibb
storage temp.
2-8°C
Quality Level
Gene Information
Looking for similar products? Visit Product Comparison Guide
Related Categories
General description
Application
Biochem/physiol Actions
Features and Benefits
Preparation Note
Disclaimer
signalword
Danger
hcodes
Hazard Classifications
Muta. 2 - Repr. 1B - STOT RE 1
target_organs
Central nervous system,Bone marrow,Cardio-vascular system
Storage Class
6.1C - Combustible acute toxic Cat.3 / toxic compounds or compounds which causing chronic effects
wgk
WGK 3
flash_point_f
Not applicable
flash_point_c
Not applicable
ppe
Eyeshields, Faceshields, Gloves, type P3 (EN 143) respirator cartridges
Choose from one of the most recent versions:
Already Own This Product?
Find documentation for the products that you have recently purchased in the Document Library.
Our team of scientists has experience in all areas of research including Life Science, Material Science, Chemical Synthesis, Chromatography, Analytical and many others.
Contact Technical Service