組織工学および細胞送達向けポリエチレングリコール(PEG)および合成PEG誘導体
Ali Affar, Fei Xu, Todd Hoare
McMaster University, Department of Chemical Engineering, 1280 Main Street West, Hamilton, Ontario, L8S 4L8, Canada.
Material Matters 2018, Vol.13 No.3
はじめに
組織工学や再生医療は生活の向上や寿命延長に貢献できる計り知れない可能性を秘めており、細胞を使用した複数の治療法が臨床で使用され始めています。臓器全体の機能的交換から治療用細胞の損傷部位への送達にいたるまで、組織工学的手法の成功は、in vitroやin vivoでの細胞の送達や成長に使用される生体材料足場にかかっています1。成功している組織工学用足場は、(1)作製が再現可能である(3Dプリンティング法の利点の1つ)2、(2)好ましくは注射によって、目標の作用部位に容易に送達できる1,3、(3)理想的には、天然組織の細胞外マトリックスと物理的および機械的な性質が一致する4、(4)細胞の接着、増殖、分化など、望まれる細胞の機能を支援する5、(5)炎症反応が起こらないか、最小限である、(6)最適な速度で、一般に安全に身体から除去されるとみなされている無毒の副生成物に分解される、といった共通の特長を持っています。
水溶性のポリマーネットワークであるハイドロゲルは水を多く含有し、通常は炎症反応が弱く、生体を模倣するように力学的性質を調節可能で、化学的性質を多様に変化できることから、組織工学用足場によく適しています。特に、多糖類、タンパク質、核酸(これらの多くが天然の細胞外マトリックスで確認されます)などの多種多様な天然のバイオポリマーについて、組織工学用途での使用が探索されています6。一般に、バイオポリマーは細胞適合性が高く、糖質やアミノ酸のような安全な細胞外マトリックス成分に分解できるものも多くあります。ただし、これらの材料は本質的に生物活性があり、再現性よく機能させることが困難なため、分解速度や機械的性質のような重要な性質の制御が難しくなります。合成ポリマーは、化学的性質、構造、機械的性質、残存官能基が明確なハイドロゲルが得られるように設計できるため、上記のような制限に対処することが可能です。特に合成法では、in situゲル化、熱応答性、pH応答性のような「スマート」な特性など、複数の機能性部分を通常は簡単な共重合法で組み込むことができます4,7。また、合成ポリマーは低分子に分解されるよう調節できる場合もあります。例えば、分解性ポリマーの乳酸-グリコール酸共重合体(PLGA:poly(lactide-co-glycolide))は、天然の代謝物である乳酸とグリコール酸に分解されます。ただし、このような機能性を持つ水溶性のハイドロゲル前駆体ポリマーの例は少数にとどまっています4。また、ポリマーのサイズと多分散性を制御し、ポリマーを分解性の架橋と結合させることで、腎臓系による除去を可能にするような合成ハイドロゲルも開発されています3。
報告されているすべての合成ポリマーの中で、組織工学用として最も広く研究されているのがポリエチレングリコール(PEG:poly(ethylene glycol))です。PEGは適度な水和構造をとるため、一般に細胞適合性やタンパク質に対する忌避性が高く、結果的に炎症反応が最小限に抑えられます8。PEGは親水性であるため、ほとんどの場合細胞に対する接着性を示しませんが、アルギニン-グリシン-アスパラギン酸(RGD)のような接着性のモチーフをハイドロゲル内に組み込むことで対処できます7。これらの特性に基づき、PEG系ハイドロゲルは組織工学および細胞送達の幅広い用途で使用され、成功を収めています9。しかし、従来のPEG系ハイドロゲルには、注射が不可能で、分解を調節できず、機械的性質があまり良くないといった限界があります。本稿では、化学的架橋の方法や出発物質のPEG鎖の構造を変えることで、組織工学または細胞送達用途におけるPEGハイドロゲルおよびPEG誘導体ハイドロゲルの性能をどのように向上できるかについて説明します。
化学的架橋の方法
PEG系ハイドロゲルの調製に最も多く使用されている方法は、ポリエチレングリコールジアクリレートのフリーラジカル重合反応で、アクリレート基の間のPEG鎖の長さを変えることにより架橋の程度を調節します10。ただし、得られるハイドロゲルの膨潤比が低い、分解性や注入性がない、メッシュサイズを制御できないといった性質のため、生物医学用途では制約を受ける場合があります。そのため、PEG系ネットワークの注入性と分解性を改善する代替の架橋法が開発されています。
注入性
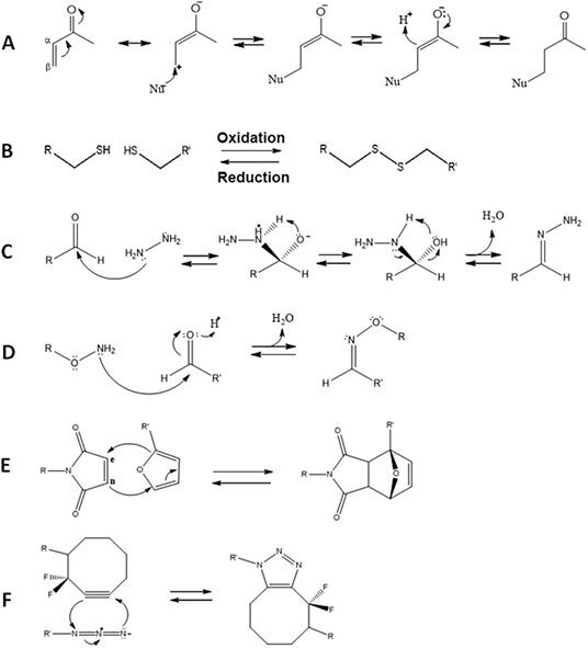
PEG系ハイドロゲルを注射可能にする最も一般的な方法は、物理的または化学的に架橋できる相補的な官能基で修飾した2種類のPEG誘導体を共押出しする方法です。組織工学でより一般的である共有結合性のin situゲル化は、図1に示す多様なin situ架橋反応を可能とする迅速に反応する官能基でPEGのヒドロキシ末端基を変換することで可能となります。形成される架橋の数、長さ、可逆性を制御することで、ハイドロゲルの物理的性質の調節が可能になります3。

図1様々な化学的in situ架橋法の例:A)マイケル付加、B)ジスルフィド結合の形成、C)ヒドラゾン縮合、D)オキシムの形成、E)Diels-Alder環化付加、F)歪み促進型アルキン-アジドHuisgen環化付加。(文献3より許可を得て転載。copyright 2014 John Wiley & Sons)。
これらの反応系は、いずれも多様な細胞足場の構築に有用ですが、各手法には明確な利点と欠点があります。マイケル付加(図1A)は比較的高速ですが、非分解性の結合が形成され、体内でタンパク質と反応する場合があります。ジスルフィドの形成(図1B)では酸化還元応答性のハイドロゲルが得られますが、通常は反応が遅く、ゲルの強度は低くなります。ヒドラゾンの形成(図1C)は迅速に進行し、加水分解性のヒドラゾン結合が生成しますが、タンパク質中のアミンともシッフ塩基を形成してしまう可能性のあるアルデヒド基が通常使用されます。オキシムの形成(図1D)は、長時間持続する足場に適した、ゆるやかに分解する結合が生成しますが、迅速なゲル化には酸触媒を必要とします。Diels-Alder反応(図1E)は生体直交性が高い反応ですが、ゲル化がやや遅く、機能的に(少なくとも高温でなければ)不可逆な架橋を形成します。歪み促進型アルキン/アジド環化付加(図1F)は迅速に進行し、特異性も高いのですが、ハイドロゲルの疎水性が大幅に増加します。したがって、それぞれの用途に応じて、ゲル化速度、副反応の可能性、分解速度のバランスが最も適切になるように、架橋反応系を慎重に選択しなければなりません。
また、静電相互作用、水素結合、ステレオコンプレックス化、疎水性相互作用のような非共有結合性の相互作用も、in situゲル化や高いずり流動化性を持つ、注射可能なハイドロゲルの作製を促進するために使用されています11。ただし、これらの方法で得られるハイドロゲルは、体内の非常に希釈された条件での安定性が悪かったり、in vivoで架橋を壊すような干渉を受けたりする場合が多く見られます。それでも、PEGなどのポリマーのホストにα-シクロデキストリン(CD:cyclodextrin)などの環状超分子構造を使用して調製した包接錯体は、共有結合性架橋の代替として関心を集めています12。CDの中心にPEG鎖を通した環動構造を高分子鎖内に複数導入することで、架橋点を形成することができます。組織工学に特に関係する点として、この包接錯体の架橋の可動性は(共有結合性の架橋とは異なり)ハイドロゲル構造の自己修復につながる可能性があります。したがって、共有結合性と非共有結合性の架橋法を組み合わせることで、共有結合性および物理的な方法の両者の欠点に対処可能な興味深い選択肢が得られます。例として、Qiaoらは、PEGをアルキン末端基、CD環を反応性のアジド基で修飾することで、非共有結合性(CD-PEG相互作用)と共有結合性(アルキン/アジドクリックケミストリー)の双方の架橋を可能にしています(図2)。この足場の内部において、10日間にわたって90%を超える生存性でHeLa細胞とHEK293T細胞を維持することができ、ゲルは1か月以内に完全に分解しました13。

図2アルキンで修飾したPEGおよびアジドで修飾したCDから作製されたハイドロゲルで使用される多様なネットワーク形成法の概略図。(文献13より許可を得て転載。copyright 2013 the Royal Society of Chemistry)
分解性
組織の再生を最適化するためには、内部の細胞がマトリックスを介して増殖し、自身の細胞外マトリックスを形成して、天然の生物学的状態を再構築する速度と、足場の分解速度を合わせる必要があります。分解速度を制御できるように加水分解などの一般的な分解機構を調節する場合もありますが、光や病態のような特定の刺激を使用して、分解が望まれる特定の環境条件下でゲルを動的に分解する方法に強い興味が持たれています5。
これらの方法で最もよく使用されているのは酵素による分解で、様々な酵素(疾病により特に増加するものなど)の基質となる特定のアミノ酸配列を架橋剤として使用します。最も報告が多い基質は細胞が分泌する酵素のマトリックスメタロプロテアーゼ(MMP)に対するもので、MMPは複数の炎症状態やがんにおいて過剰発現します7。例として、Bryantらは、前骨芽細胞とヒドロキシアパタイトナノ粒子を充填してMMP感応性のペプチド配列で架橋したPEG系ハイドロゲルについて報告しており、骨形成の際にMMPが増加するとハイドロゲルの分解速度が加速し、骨の再生が促進されることが示されています9。
また、UVもしくは可視光を使用して、ハイドロゲル内で標的を定めた分解を誘起することも行われています。光誘起シス-トランス異性化(アゾベンゼン、スチルベンなど)または可逆開環/閉環異性化(ジアリールエテン、スピロピラン、フルギミドなど)のどちらかの反応を利用して架橋を操作することができます(図3)5。光は体内に深く侵入できないため、このような方法は主にin vitroでの使用に限定されますが、in vivoでも局所、歯、眼のインプラント内で光誘起分解を起こし、ゲルの分解や剛性の低下をもたらすことが可能です。ゲルの剛性の低下は、細胞の増殖を促進したり、特定の細胞分化を誘起したりする場合に有効です。例として、Ansethのグループでは、チオール化した4arm-星型PEGとアクリレートで修飾したポリエチレングリコール・ジ-光分解性アクリレート(poly(ethylene glycol) di-photodegradable acrylate(PEGdiPDA))をマイケル付加反応で架橋することで細胞化したハイドロゲルを作製し、その後、光分解性架橋剤のo-ニトロベンジルエーテルをUV照射で開裂することでハイドロゲルを分解しました14。ハイドロゲルの多孔性や機械的性質を必要に応じて切り替えることにより、単独の幹細胞の移動15や細胞分化(線維芽細胞から筋線維芽細胞への移行など)16のような細胞応答の精密な制御が可能になっています。

図3光応答性架橋法の4つの例。(文献5より許可を得て転載。copyright 2017 the Royal Society of Chemistry)
鎖構造
PEGおよびPEG系誘導体の化学的な構造は、PEG系ハイドロゲルの親水性、生物学的応答、機械的性質、タンパク質に対する忌避性、分解速度、および膨潤の制御において重要な役割を果たします17。最もよく行われているのは、ポリ乳酸(PLA)、PLGA、ポリプロピレンオキシド(PPO)などの疎水性の生分解性ポリマーブロックでPEGを修飾する方法です。この方法で生成したジブロックまたはトリブロック共重合体は、疎水性相互作用を介して自己組織化しハイドロゲルを形成することが可能で、疎水性ポリマーの分解に伴い時間の経過とともに分解します18。トリブロック共重合体、特にPEO-PPO-PEO(プルロニック系ポリマー)は、室温から生理学的温度に加熱するとゾル-ゲル転移が起きて注射が可能になるため、多くの研究が行われています。Koleskyらは、細胞を含有する熱ゲル化性インクとしてPEO-PPO-PEOを使用し、線維芽細胞を含む血管化した組織の構造物をバイオプリンティングで作製した例を示しています19。これらのネットワークは時間の経過に伴う希釈に対する感受性があり、機械的性質が比較的悪いため、弾性率が低い組織を作製する材料としての使用には制約があります。しかし、共有結合を形成するユニット(ジアクリレート化したプルロニックF-127)20をこれらのポリマーと組み合わせることで、この欠点にも部分的ながら対処することは可能です。
また、PEG鎖の物理的な配置を直鎖からより複雑な形状に変えることも、ゲルの性質に強く影響します。特に、星型または分岐した配置のPEG鎖は、弾性率が高く、化学的に調節可能なPEGハイドロゲルを形成することができます。この理由は、各鎖の末端の-OH基が1個しかない直鎖状PEGと比較して、星型または分岐PEGでは鎖1本あたりの架橋可能な官能基の数が増加するためです21。また、前駆体材料の中でPEG鎖を空間的に組織化することでも、より精密に制御された化学構造が形成され、望ましい細胞応答を促進する上で有益となります22。
通常、星型PEGポリマーの調製は、4、6または8本の直鎖状PEG(長さ調節可能)からなる腕を中心となる構造に接続することで行われます。それぞれの腕の末端基は用途に応じて生体分子や架橋剤で修飾することが可能で、機械的性質や生物学的作用の調節がしやすくなります23。実際に、四面体配向4arm-星型PEGは非常に均一なネットワーク構造を形成するため、MPa範囲の弾性率を持つハイドロゲルの作製が可能になります24。また、星型PEGを注射可能/分解可能な化学的方法と併用して組織の足場を形成することもできます。例として、両親媒性8arm-PEG-b-PLA-コレステロール共重合体はコレステロール基の間の相互作用のため34℃で熱ゲル化し、ハイドロゲル内でL929マウス線維芽細胞の生存性と増殖を支援できるマイクロ構造ネットワークを形成します25。また、星型PEGで追加された表面修飾性を利用することで、架橋密度を犠牲にすることなく高度に機能化したハイドロゲルを作製することができます。例えば、RGDで修飾した星型PEGで被覆すると、星型PEGの形態に基づいて高密度にRGDを導入できるため、RGD以外で修飾した星型PEGやRGDで修飾した直鎖状PEGよりも細胞進展を大幅に促進させることができます26。
多段階合成を要する星型PEGよりも簡便に合成できる代替材料として、グリシドール存在下でのエチレンオキシドのランダムアニオン開環共重合を利用して、多分岐PEG共重合体(分子量1400 g/mol~1,700,000 g/molの球状鎖)が合成されています27。この反応法では、一段階で修飾可能な鎖末端を多数持つPEG誘導体が得られ、合成法としても実用的にも興味が持たれています。ただし、星型PEGよりも収率が低かったり、分岐構造の不均質のためにゲルの強度が低下したりする場合があります。私たちの知るかぎり、これらの材料は組織工学用途ではまだ十分には検討されていません。
分岐PEG共重合体は、PEG系ハイドロゲルを作製する別の手段として非常に魅力的です。もっとも一般的な分岐PEG材料はポリオリゴエチレングリコールメタクリレート(POEGMA:poly(oligoethylene glycol methacrylate))で、メタクリレート骨格と、モノマー繰り返し単位中の長さが調節可能な1本のPEG側鎖からなります17。この合成では、フリーラジカルまたは制御ラジカル重合によって、直鎖状もしくは多分岐のいずれのポリマーも得ることが可能で、共重合による機能化も容易です28。さらに、PEG側鎖の長さを変えることで、ハイドロゲルの性質が大幅に変わります。例として、Lutzらは、モノマーとして側鎖が長いオリゴエチレングリコールメチルエーテルメタクリレート(OEGMA:oligo(ethylene glycol) methyl ether methacrylate)と側鎖が短いジエチレングリコールメチルエーテルメタクリレート(M(EO)2MA:di(ethylene glycol) methyl ether methacrylate)を用いた共重合で得られたポリマーおよびハイドロゲルの下限臨界溶解温度(LCST:lower critical solution temperature)が、使用するOEGMAとM(EO)2MAの比を変えることで室温から80℃超の範囲で精密に調節できることを示しています29。LCST挙動によりハイドロゲルは高い親水性からやや疎水性に変わるため細胞接着性が大きく変わり、その結果、細胞剥離が調節可能になります(図4)30。

図4poly(OEGMA-co-M(EO)2MA)で修飾した金基板上のL929マウス線維芽細胞の顕微鏡画像。A)37℃で44時間後。B)25℃で30分間。スケールバーは100 mm。(文献30より許可を得て転載。copyright 2008 John Wiley & Sons)。
私たちの研究室では、注射可能または印刷可能なPOEGMAハイドロゲルの類似物質の開発に力を入れており、反応性官能基であるヒドラジドおよびアルデヒドで修飾したPOEGMA前駆体ポリマーを用いることで、両ポリマーを混合しての共押出しと、続くヒドラゾン架橋形成によるin situゲル化が可能になっています31。前駆体ポリマーの反応性官能基の濃度、分子量、密度を変えることで、特定の用途に応じてゲル化時間を数分間から数時間まで調節することができ、in vivoの注射や、ナノファイバー状の細胞外マトリックスを模倣し得る制御されたナノファイバー状ハイドロゲルネットワークの電界紡糸法による作製32、多孔質の支持体に固定したハイドロゲルコーティングのインクジェット印刷による作製33などの処理を容易に行うことができます。PEGの化学的性質に基づいて、in vivoの注射の際に炎症反応は低く維持され、ヒドラゾンのゲル化を用いた方法では時間の経過に伴う加水分解が促進されます。実際に、PEG系材料で起きてしまう炎症反応の一部を、分岐PEGの使用により回避できることが別のグループにより示されています34。さらに、POEGMAは共重合を容易に行うことができるため、疎水性領域の形成、温度応答性の膨潤、細胞の層間剥離、細胞接着性の可能性など、多様な機能性を持たせた注射可能なPOEGMA系共重合体を作製することが可能になっています(図5)17。

図5機能性モノマーの共重合および/または後重合型のグラフト重合により調製された、ヒドラジドおよびアルデヒドで修飾された機能性ポリオリゴエチレングリコールメタクリレート(POEGMA)ハイドロゲル前駆体のライブラリ。(文献17より許可を得て転載。copyright 2015 Royal Society of Chemistry)。
特に細胞送達に関して、POEGMAとアクリル酸(アニオン性電荷)および/またはN,N-ジメチルアミノエチルメタクリレート(カチオン性電荷)との共重合によって荷電した官能基を導入することで細胞接着性が大幅に向上します。特に、カチオン性とアニオン性の官能基で修飾された前駆体ポリマーを混合することで調製された両性ハイドロゲルは、網膜色素上皮細胞を長期にカプセル化でき、その眼の裏側への送達における細胞生存性を向上することが示されています(図6)35。

図6ARPE-19網膜上皮細胞の3Dカプセル化における3日後および15日後の共焦点顕微鏡像。(A、B)非荷電、(C、D)カチオン性、(E、F)両性、および(G、H)アニオン性の注射可能なPOEGMAハイドロゲルと(I)対照用のGeltrexマトリックスとの比較。各ゲルおよび時点における生細胞による蛍光板の被覆率を(J)に示します。スケールバーは100 µm。(文献35より許可を得て転載。copyright 2017 American Chemical Society)。
結論
PEGは生体不活性であることから、PEGハイドロゲルを組織工学および細胞送達の多様な用途で効果的に使用することが可能になっています。また、注射可能なPEG誘導体や星型/分岐PEG類などのように、PEG類は化学的性質が調節可能であるために、ハイドロゲルの化学的性質、分解性、注入性、機械的性質を制御し、優れた特性を発揮することができます。特に、PEG誘導体ハイドロゲルの化学的な設計自由度は近年大幅に広がってきており、従来のPEGハイドロゲルの本質的な問題、特に組織成長または細胞分化/維持応答を方向付けるための機械的性質と細胞-ハイドロゲル相互作用の改善に取り組むことができるようになるでしょう。
関連製品
参考文献
続きを確認するには、ログインするか、新規登録が必要です。
アカウントをお持ちではありませんか?